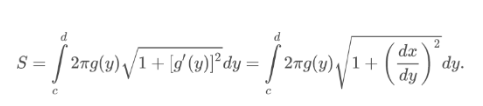
Question: Please show all work, step by step. Thank you so much! (10 points) Parabolic mirrors and reflectors have the shape of a paraboloid of revolution.




Please show all work, step by step. Thank you so much! (10 points) Parabolic mirrors and reflectors have the shape of a paraboloid of revolution. + D
Step by Step Solution
There are 3 Steps involved in it
Get step-by-step solutions from verified subject matter experts
