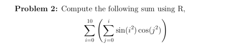
Question: Please show and explain code. Thanks! Problem 2: Compute the following sum using R, El sin(i2) cos(32) 10 i=0
Please show and explain code. Thanks!

Problem 2: Compute the following sum using R, El sin(i2) cos(32) 10 i=0
Step by Step Solution
There are 3 Steps involved in it
Get step-by-step solutions from verified subject matter experts
