Question: please show clear working... i will leave a thumbs up. Week 11 Absorption Costing & Marginal Costing Profit Statement Answer all questions Fantasia Berhad plans
please show clear working... i will leave a thumbs up.
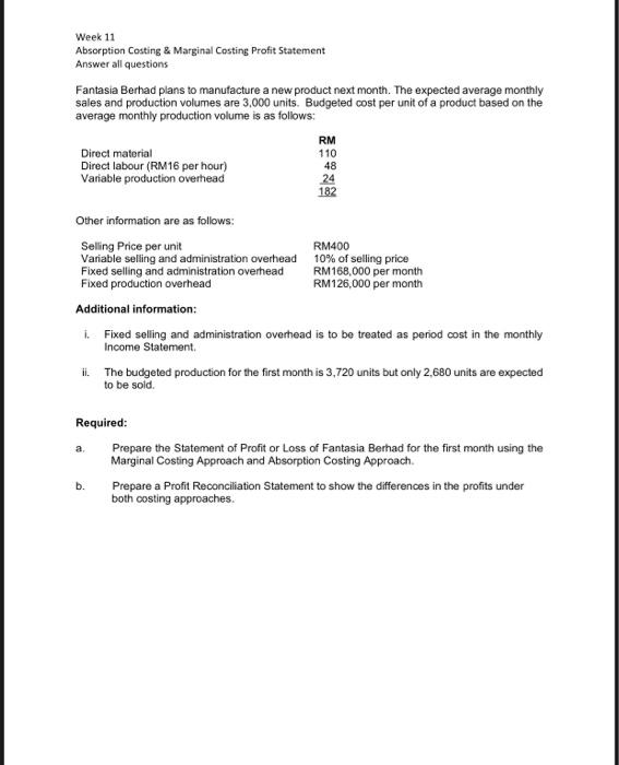
Week 11 Absorption Costing \& Marginal Costing Profit Statement Answer all questions Fantasia Berhad plans to manutacture a new product next month. The expected average monthly sales and production volumes are 3,000 units. Budgeted cost per unit of a product based on the average monthly production volume is as follows: Other information are as follows: Additional information: i. Fixed selling and administration overhead is to be treated as period cost in the monthly income Statement. ii. The budgeted production for the first month is 3,720 units but only 2,680 units are expected to be soid. Required: a. Prepare the Statement of Profit or Loss of Fantasia Berhad for the first month using the Marginal Costing Approach and Absorption Costing Approach. b. Prepare a Profit Reconciliation Statement to show the differences in the profits under both costing approaches
Step by Step Solution
There are 3 Steps involved in it
Get step-by-step solutions from verified subject matter experts
