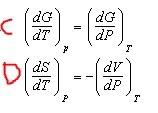
Question: Please show COMPLETE solution Which is incorrect in the following: Maxwell relationship can be derived from the fundamental property relationship: dG = VIP-SAT dv d7


Which is incorrect in the following: Maxwell relationship can be derived from the fundamental property relationship: dG = VIP-SAT dv d7 dG dp P T A(z) - Ceny Blanes ) Fle dG dt $ S dv dT ds dP P I dG C dG dp ). () T ds dV dP P
Step by Step Solution
There are 3 Steps involved in it
Get step-by-step solutions from verified subject matter experts
