Question: Please show the steps and details so I know how things are done. Please Please The data attached contains information on customers ratings of your
Please show the steps and details so I know how things are done. Please Please
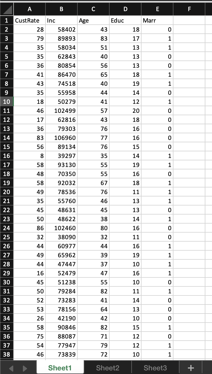
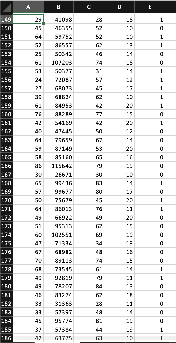
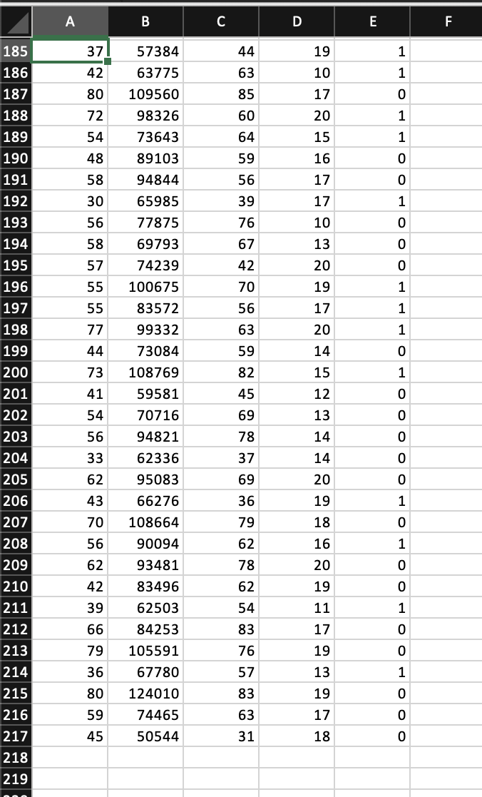
The data attached contains information on customers ratings of your product (CustRate), on a scale of 1 to 100, along with demographic information. The demographic information includes: income (Inc), age (Age), education (Educ), and marital status (Marr). The last variable equals one if the respondent is married and zero otherwise. Assume the data-generating process can be written as:
CustRatei=+1Inci+2Agei+3Educi+4Marri+Ui.
- Test the hypothesis that income has no impact on customer rating, using a confidence level of 95%. Be sure to provide the reasoning behind your result.
- Test the hypothesis that 2=0.05, using a confidence level of 90%. Be sure to provide the reasoning behind your result.
- Build a 95% confidence interval for the impact of education on customer rating. Be sure to provide the reasoning for your result.
- Build a 95% confidence interval for the impact of being married on customer rating. Be sure to provide the reasoning for your result.
- Predict the change in customer rating if a customers income increases by $10,000, with no change in age, education, or marital status





A B C D E F 1 Educ Marr 2 43 18 3 1 83 51 17 13 1 5 40 13 0 000 u WN 6 13 56 65 18 1 8 40 19 1 44 14 9 10 41 12 1 20 11 12 57 43 O O O O O O O O O O - 18 16 13 14 16 76 77 76 35 15 15 14 1 CustRate Inc Age 28 58402 79 89893 35 58034 35 62843 36 80854 41 86470 43 74518 35 55958 18 50279 46 102499 17 62816 36 79303 83 106960 56 89134 8 39297 58 93130 48 70350 58 92032 49 78536 35 55760 45 48631 50 48622 86 102460 32 38090 44 60977 49 65962 44 47447 16 52479 45 51238 50 79284 52 73283 55 19 1 55 16 67 18 1 76 11 1 1 46 45 13 13 0 14 1 16 0 38 80 32 44 39 11 0 16 17 18 19 20 21 22 23 24 25 26 27 28 29 30 31 32 33 34 35 36 37 38 16 1 1 19 10 1 37 47 16 1 55 10 11 1 82 41 14 53 64 13 26 O O O O O 42 AAAR 5 229 10 82 15 78156 42190 90846 88087 77947 73839 1 58 75 54 12 71 79 72 12 1 46 10 1 Sheet1 Sheet2 Sheet3 + A B C D E TML F BF 73839 72 10 38 39 40 46 67 17 70 71 79 20 55 73 11 41 42 43 38 73 RpnB8N688 11 95%n%n 77 16 41 56 44 65 17 38 62 13 0 41 10 60 33 47 13 0 33 31 18 0 22 34 11 0 45 46 47 48 49 50 51 52 53 54 45 61 10 59 79504 103551 81651 76964 92002 92630 81637 59079 53481 61981 47444 62345 90636 66924 43472 63223 102024 91859 51800 74147 49001 63189 65693 82952 65459 71 11 0 39 16 6 47 34 41 14 0 36 19 83 83 16 60 50 20 18922889988585898a8888589%BB 56 57 1 10 101 oooooo1oooo1 1 1010 100 1001 100001 10 50 68 n8 32 46 17 20 41 40 15 21 45 59 52 40 12 20 81 14 23 37 19 47 73623 67 11 46 53 10 39 52 17 60 61 62 63 64 65 66 67 68 69 70 71 72 73 74 75 69 84 58703 75724 89721 92167 84185 62827 73275 79 69 50 75 91p4N856 51o6 45 41 66 81 68 54 73 97682 11 84 10 68 91359 104446 32026 81 15 38 10 B D E F C 15 15 38 10 24 16 1 49 38 75 76 77 78 79 80 Od 37 17 19 50 56 0 64 18 1 32026 63546 61179 71387 100364 37724 84308 61819 34068 54646 84758 71 28 10 1 24 68 38 81 60 12 1 50 16 20 29 13 17 1 28 57 30 59 12 19 41 30 62 64 12 PO O O O PAPA 19 36 15 0 59 63 20 1 59 82 10 82 83 84 85 86 87 88 89 90 91 92 93 94 95 96 97 98 99 0 73 83 20 1 72 17 1 50313 73319 52824 96290 94847 106430 94519 79568 70571 77195 94754 63482 54621 98958 62514 44 20 68 60 33 42 61 0 13 1 65 56 18 0 67 13 0 57 1 60 40 12 18 1 83 1 16 19 41 1 100 101 36 58 17 58 59 56 94638 66 12 1 16 1 65 52 18 1 34 18 1 50 48 14 50 26 48 10 1 102 103 104 105 106 107 108 109 110 111 112 61 77590 62972 75715 66851 52452 120595 81983 66972 38026 93236 98003 16 0 55 76 79 52 13 O O O O 1 41 15 28 35 17 40 18 0 76 75 39 17 1 B C D E F 39 75 17 1 42 12 1 26 34 98003 43014 57142 89995 41 74 13 18 00 w N 55 1 112 113 114 115 116 117 118 119 32 16 50 78 53 15 0 13 1 31 75 32 82 17 120 36 60 15 1 33 37 11 18 1 43 50 68975 76995 41771 107119 79423 52455 74186 88230 77681 81907 74105 103295 62365 50388 73826 53 76 13 1 68 14 49 53 32 60 20 53 11 1 3 17 1 71 43 82 41 20 0 24 34 17 29 43 18 Ho Ho Ho Ho Ho o o o o o o HHO o o o o o o 50 96867 76 20 0 59 0 66 46 81473 84895 50703 15 18 71 1 14 17 121 122 123 124 125 126 127 128 129 130 131 132 133 134 135 136 137 138 139 140 141 142 143 144 145 146 147 148 149 1 50514 19 1 29 35 76 51 17 1 11 1 22 65 33 34 55 61 91143 60094 72363 61569 111907 40 18 10 65 1 80 13 19 50860 39 13 69 20 63 43 55 18 0 39 17 1 76 12 1 81328 76263 52869 92165 60211 88320 73401 41098 34 79 55 74 14 1 41 74 19 49 71 12 0 29 28 18 1 A B C D E 29 41098 28 18 1 149 150 45 46355 52 10 0 151 64 10 1 59752 86557 52 62 52 13 1 25 46 14 0 74 18 0 14 1 61 53 24 27 31 57 12 1 50342 107203 50377 72087 68073 68824 84953 88289 45 17 1 39 62 10 152 153 154 155 156 157 158 159 160 161 162 163 164 165 166 1 61 42 20 1 76 77 15 0 42 42 20 1 10 40 50 12 64 67 14 0 59 58 53 65 20 16 79 19 86 30 0 0 0 0 1 30 10 167 168 65 83 14 1 169 57 80 0 17 20 50 45 64 76 11 49 49 20 51 62 15 54169 47445 79659 87149 85160 115642 26671 99436 99677 75679 86013 66922 95313 102551 71334 68982 89113 73545 92819 78207 83274 31363 57397 95774 57384 63775 69 19 34 19 170 171 172 173 174 175 176 177 178 179 180 181 182 183 184 60 47 67 70 48 16 74 15 68 14 61 79 1 1 0 0 0 0 0 0 11 0 0 0 0 0 1 1 49 599 5 AAAAA 999 11 49 84 13 46 62 18 33 11 28 48 33 45 37 81 19 44 185 186 19 10 42 63 B C D E F 37 44 1 19 10 42 63 1 80 85 17 60 20 1 72 54 48 64 15 185 186 187 188 189 190 191 192 193 194 1 59 16 0 58 17 1 56 39 76 67 17 10 30 56 58 57 0 13 42 20 0 55 57384 63775 109560 98326 73643 89103 94844 65985 77875 69793 74239 100675 83572 99332 73084 108769 59581 70716 94821 62336 95083 66276 108664 70 19 1 56 1 17 20 63 1 195 196 197 198 199 200 201 202 203 204 55 77 44 73 59 14 82 1 15 12 41 45 0 13 54 56 33 62 69 78 37 O o o o o o o o o o o o o o o o o o o o 14 14 69 20 205 206 43 19 1 36 79 207 70 18 56 62 16 1 78 20 62 19 62 42 39 66 90094 93481 83496 62503 84253 105591 54 11 1 17 79 208 209 210 211 212 213 214 215 216 217 218 219 83 76 57 19 36 67780 1 13 19 80 83 124010 74465 50544 63 59 45 17 31 18 0 A B C D E F 1 Educ Marr 2 43 18 3 1 83 51 17 13 1 5 40 13 0 000 u WN 6 13 56 65 18 1 8 40 19 1 44 14 9 10 41 12 1 20 11 12 57 43 O O O O O O O O O O - 18 16 13 14 16 76 77 76 35 15 15 14 1 CustRate Inc Age 28 58402 79 89893 35 58034 35 62843 36 80854 41 86470 43 74518 35 55958 18 50279 46 102499 17 62816 36 79303 83 106960 56 89134 8 39297 58 93130 48 70350 58 92032 49 78536 35 55760 45 48631 50 48622 86 102460 32 38090 44 60977 49 65962 44 47447 16 52479 45 51238 50 79284 52 73283 55 19 1 55 16 67 18 1 76 11 1 1 46 45 13 13 0 14 1 16 0 38 80 32 44 39 11 0 16 17 18 19 20 21 22 23 24 25 26 27 28 29 30 31 32 33 34 35 36 37 38 16 1 1 19 10 1 37 47 16 1 55 10 11 1 82 41 14 53 64 13 26 O O O O O 42 AAAR 5 229 10 82 15 78156 42190 90846 88087 77947 73839 1 58 75 54 12 71 79 72 12 1 46 10 1 Sheet1 Sheet2 Sheet3 + A B C D E TML F BF 73839 72 10 38 39 40 46 67 17 70 71 79 20 55 73 11 41 42 43 38 73 RpnB8N688 11 95%n%n 77 16 41 56 44 65 17 38 62 13 0 41 10 60 33 47 13 0 33 31 18 0 22 34 11 0 45 46 47 48 49 50 51 52 53 54 45 61 10 59 79504 103551 81651 76964 92002 92630 81637 59079 53481 61981 47444 62345 90636 66924 43472 63223 102024 91859 51800 74147 49001 63189 65693 82952 65459 71 11 0 39 16 6 47 34 41 14 0 36 19 83 83 16 60 50 20 18922889988585898a8888589%BB 56 57 1 10 101 oooooo1oooo1 1 1010 100 1001 100001 10 50 68 n8 32 46 17 20 41 40 15 21 45 59 52 40 12 20 81 14 23 37 19 47 73623 67 11 46 53 10 39 52 17 60 61 62 63 64 65 66 67 68 69 70 71 72 73 74 75 69 84 58703 75724 89721 92167 84185 62827 73275 79 69 50 75 91p4N856 51o6 45 41 66 81 68 54 73 97682 11 84 10 68 91359 104446 32026 81 15 38 10 B D E F C 15 15 38 10 24 16 1 49 38 75 76 77 78 79 80 Od 37 17 19 50 56 0 64 18 1 32026 63546 61179 71387 100364 37724 84308 61819 34068 54646 84758 71 28 10 1 24 68 38 81 60 12 1 50 16 20 29 13 17 1 28 57 30 59 12 19 41 30 62 64 12 PO O O O PAPA 19 36 15 0 59 63 20 1 59 82 10 82 83 84 85 86 87 88 89 90 91 92 93 94 95 96 97 98 99 0 73 83 20 1 72 17 1 50313 73319 52824 96290 94847 106430 94519 79568 70571 77195 94754 63482 54621 98958 62514 44 20 68 60 33 42 61 0 13 1 65 56 18 0 67 13 0 57 1 60 40 12 18 1 83 1 16 19 41 1 100 101 36 58 17 58 59 56 94638 66 12 1 16 1 65 52 18 1 34 18 1 50 48 14 50 26 48 10 1 102 103 104 105 106 107 108 109 110 111 112 61 77590 62972 75715 66851 52452 120595 81983 66972 38026 93236 98003 16 0 55 76 79 52 13 O O O O 1 41 15 28 35 17 40 18 0 76 75 39 17 1 B C D E F 39 75 17 1 42 12 1 26 34 98003 43014 57142 89995 41 74 13 18 00 w N 55 1 112 113 114 115 116 117 118 119 32 16 50 78 53 15 0 13 1 31 75 32 82 17 120 36 60 15 1 33 37 11 18 1 43 50 68975 76995 41771 107119 79423 52455 74186 88230 77681 81907 74105 103295 62365 50388 73826 53 76 13 1 68 14 49 53 32 60 20 53 11 1 3 17 1 71 43 82 41 20 0 24 34 17 29 43 18 Ho Ho Ho Ho Ho o o o o o o HHO o o o o o o 50 96867 76 20 0 59 0 66 46 81473 84895 50703 15 18 71 1 14 17 121 122 123 124 125 126 127 128 129 130 131 132 133 134 135 136 137 138 139 140 141 142 143 144 145 146 147 148 149 1 50514 19 1 29 35 76 51 17 1 11 1 22 65 33 34 55 61 91143 60094 72363 61569 111907 40 18 10 65 1 80 13 19 50860 39 13 69 20 63 43 55 18 0 39 17 1 76 12 1 81328 76263 52869 92165 60211 88320 73401 41098 34 79 55 74 14 1 41 74 19 49 71 12 0 29 28 18 1 A B C D E 29 41098 28 18 1 149 150 45 46355 52 10 0 151 64 10 1 59752 86557 52 62 52 13 1 25 46 14 0 74 18 0 14 1 61 53 24 27 31 57 12 1 50342 107203 50377 72087 68073 68824 84953 88289 45 17 1 39 62 10 152 153 154 155 156 157 158 159 160 161 162 163 164 165 166 1 61 42 20 1 76 77 15 0 42 42 20 1 10 40 50 12 64 67 14 0 59 58 53 65 20 16 79 19 86 30 0 0 0 0 1 30 10 167 168 65 83 14 1 169 57 80 0 17 20 50 45 64 76 11 49 49 20 51 62 15 54169 47445 79659 87149 85160 115642 26671 99436 99677 75679 86013 66922 95313 102551 71334 68982 89113 73545 92819 78207 83274 31363 57397 95774 57384 63775 69 19 34 19 170 171 172 173 174 175 176 177 178 179 180 181 182 183 184 60 47 67 70 48 16 74 15 68 14 61 79 1 1 0 0 0 0 0 0 11 0 0 0 0 0 1 1 49 599 5 AAAAA 999 11 49 84 13 46 62 18 33 11 28 48 33 45 37 81 19 44 185 186 19 10 42 63 B C D E F 37 44 1 19 10 42 63 1 80 85 17 60 20 1 72 54 48 64 15 185 186 187 188 189 190 191 192 193 194 1 59 16 0 58 17 1 56 39 76 67 17 10 30 56 58 57 0 13 42 20 0 55 57384 63775 109560 98326 73643 89103 94844 65985 77875 69793 74239 100675 83572 99332 73084 108769 59581 70716 94821 62336 95083 66276 108664 70 19 1 56 1 17 20 63 1 195 196 197 198 199 200 201 202 203 204 55 77 44 73 59 14 82 1 15 12 41 45 0 13 54 56 33 62 69 78 37 O o o o o o o o o o o o o o o o o o o o 14 14 69 20 205 206 43 19 1 36 79 207 70 18 56 62 16 1 78 20 62 19 62 42 39 66 90094 93481 83496 62503 84253 105591 54 11 1 17 79 208 209 210 211 212 213 214 215 216 217 218 219 83 76 57 19 36 67780 1 13 19 80 83 124010 74465 50544 63 59 45 17 31 18 0
Step by Step Solution
There are 3 Steps involved in it
Get step-by-step solutions from verified subject matter experts
