Question: Please show work! 1. Write the following series using summation notation. 1 (a) 2 3 1 2 + ... 4 2 4 8 16 (b)

Please show work!

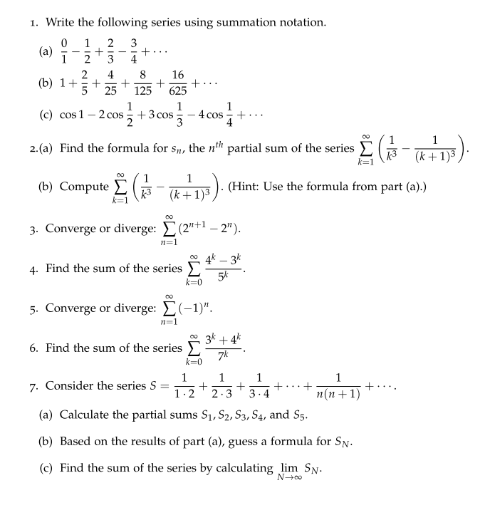
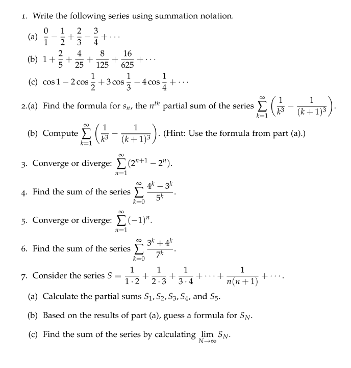
1. Write the following series using summation notation. 1 (a) 2 3 1 2 + ... 4 2 4 8 16 (b) 1+ + + 25 625 + .. . 125 (c) cos 1 - 2 cos + 3 cos - 4 cos + ... NI 2.(a) Find the formula for sn, the no partial sum of the series 1 ( k + 1)3 (b) Compute _ (23 - ( k + 1 ) 3 (Hint: Use the formula from part (a).) 3. Converge or diverge: [ (2 "+1 - 2"). 1=1 E 4 - 3k 4. Find the sum of the series K = 0 5k 5. Converge or diverge: E (-1)". 1=1 3* + 4k 6. Find the sum of the series K=0 7k 1 1 1 1 7. Consider the series S = 1 . 2 + 2 . 3 3.4 n(n + 1) + .... (a) Calculate the partial sums $1, $2, 53, $4, and $5. (b) Based on the results of part (a), guess a formula for SN. (c) Find the sum of the series by calculating lim SN. N-+0o
Step by Step Solution
There are 3 Steps involved in it
Get step-by-step solutions from verified subject matter experts
