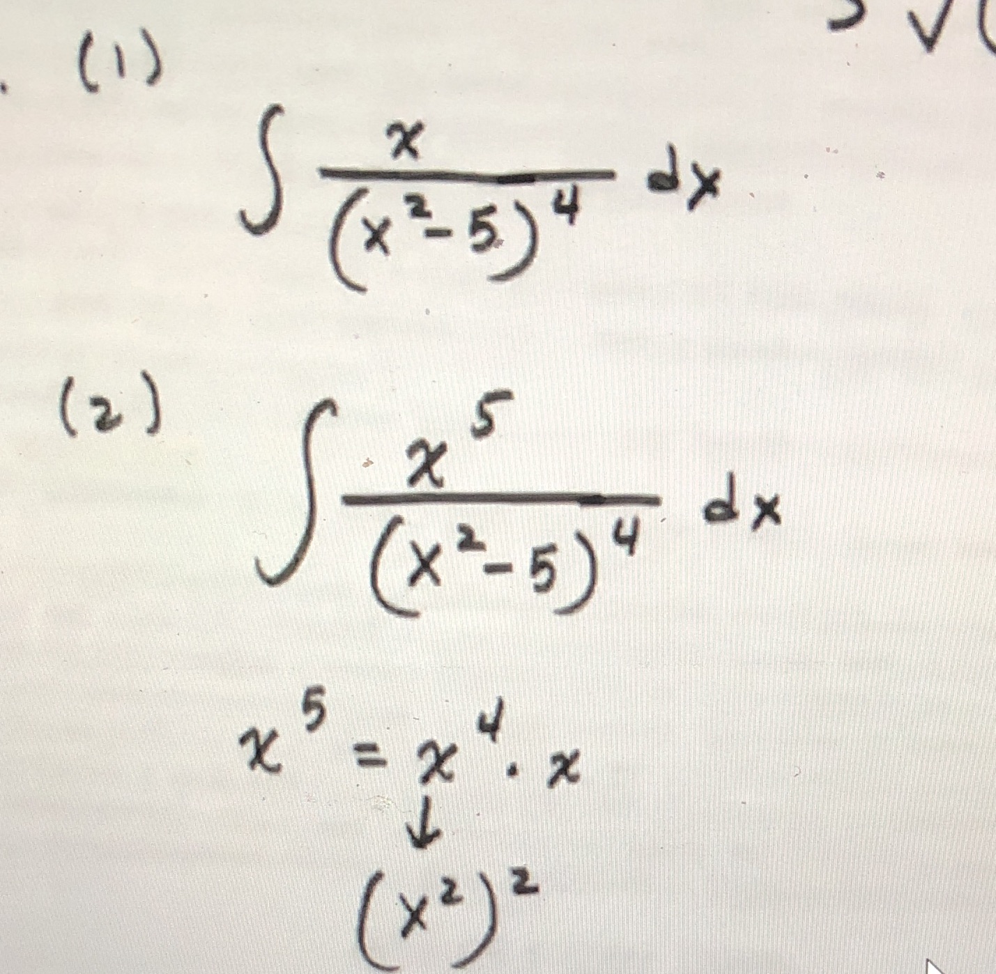
Question: Please show work. Thanks :) ( 1 ) x dy X 5. (2) 5 X ( * * - 5 ) 4 d x =X
Please show work. Thanks :)

( 1 ) x dy X 5. (2) 5 X ( * * - 5 ) 4 d x =X .x X 2 1 2
Step by Step Solution
There are 3 Steps involved in it
1 Expert Approved Answer
Step: 1 Unlock
Question Has Been Solved by an Expert!
Get step-by-step solutions from verified subject matter experts
Step: 2 Unlock
Step: 3 Unlock
