Question: Please solve 8, 10, 11 and 12 with fully explaination 8. Two lines Li and Ly are defined by the vector equations L: 7 =

Please solve 8, 10, 11 and 12 with fully explaination

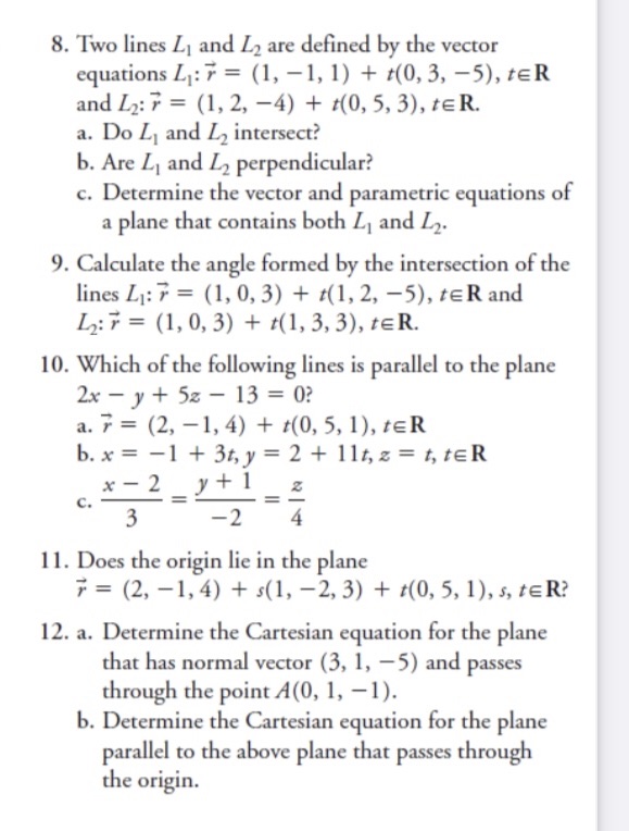
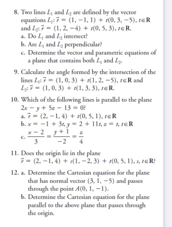
8. Two lines Li and Ly are defined by the vector equations L: 7 = (1, -1, 1) + +(0, 3, -5), tER and 2: 7 = (1, 2, -4) + +(0, 5, 3), tER. a. Do L, and 2 intersect? b. Are L, and Ly perpendicular? c. Determine the vector and parametric equations of a plane that contains both L, and L2. 9. Calculate the angle formed by the intersection of the lines L1: 7 = (1, 0, 3) + #(1, 2, -5), tER and L: 7 = (1, 0, 3) + +(1, 3, 3), tER. 10. Which of the following lines is parallel to the plane 2x - y + 5z - 13 = 0? a. r = (2, - 1, 4) + #(0, 5, 1), tER b. x = -1 + 3t, y = 2 + 11t, z = t, tER x- 2 y+1 C. 3 2 11. Does the origin lie in the plane 7 = (2, -1, 4) + s(1, -2, 3) + +(0, 5, 1), s, tER? 12. a. Determine the Cartesian equation for the plane that has normal vector (3, 1, -5) and passes through the point A(0, 1, -1). b. Determine the Cartesian equation for the plane parallel to the above plane that passes through the origin
Step by Step Solution
There are 3 Steps involved in it
Get step-by-step solutions from verified subject matter experts
