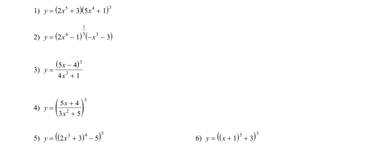
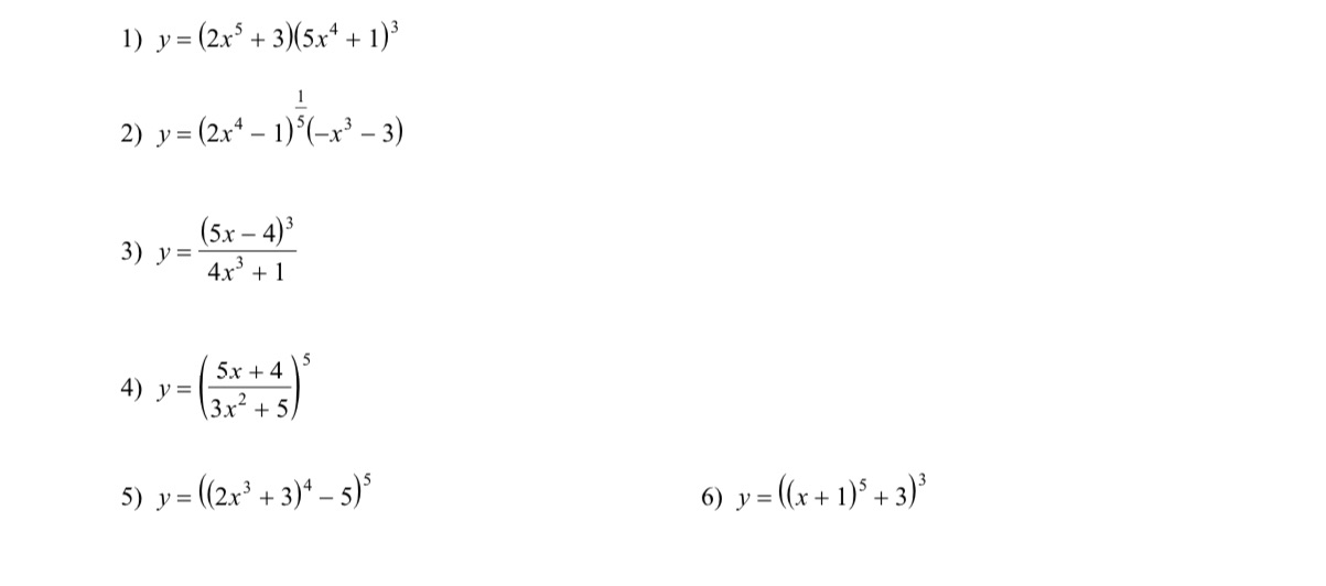
Question: please solve and explain problems 1) y = (2x5 + 3)(5x4 + 1) 3 2) y = (2x4 - 1) 5 ( -x3 - 3)

please solve and explain problems

1) y = (2x5 + 3)(5x4 + 1) 3 2) y = (2x4 - 1) 5 ( -x3 - 3) (5x - 4)3 3) y= 4x3 + 1 5x + 4 15 4) y= 3x2 + 5 5 ) y = ((2x3 + 3) 4 - 5)5 6) y = ((x+ 1)5+3)3
Step by Step Solution
There are 3 Steps involved in it
Get step-by-step solutions from verified subject matter experts
