Question: Please solve and show solution Problem 2 In the design of the collar-crank wheel with r = 1.2 m, motion is supplied by the wheel,
Please solve and show solution




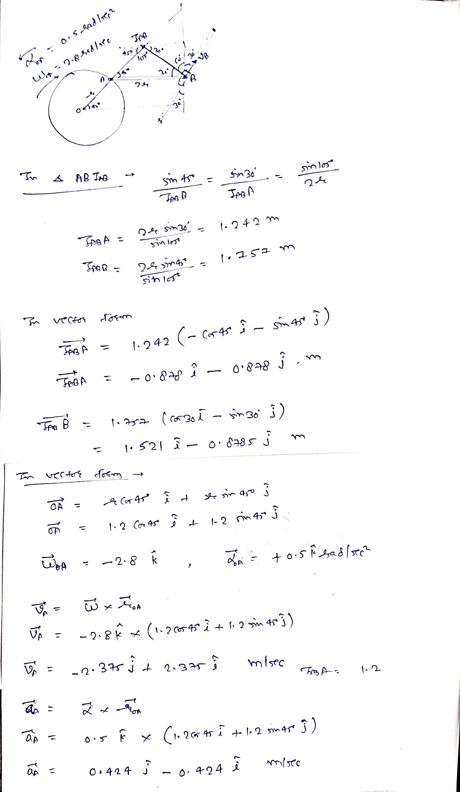
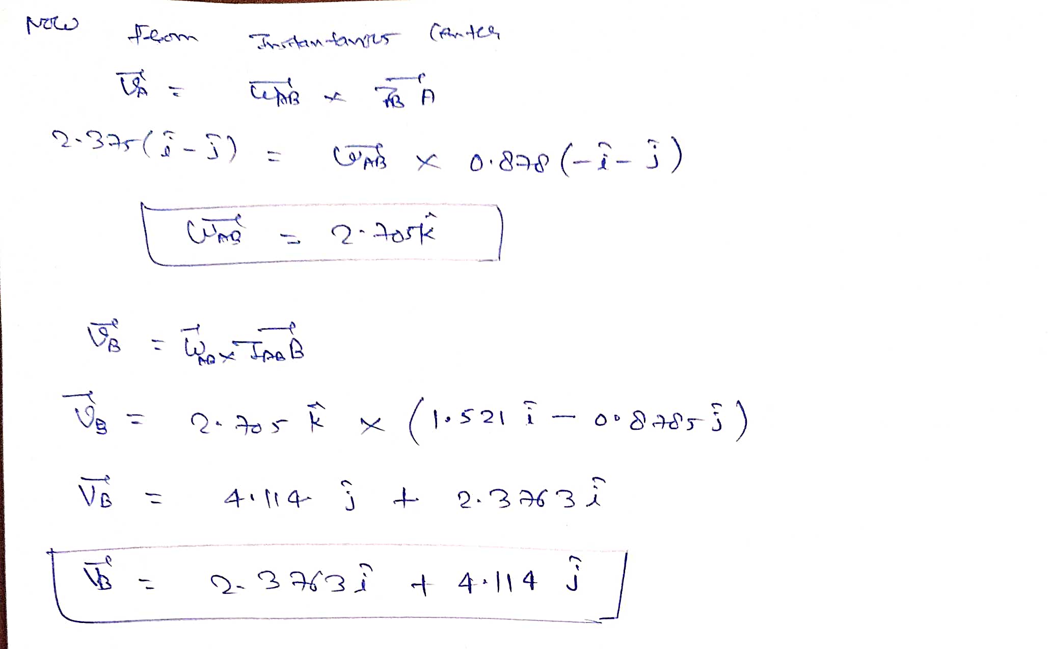
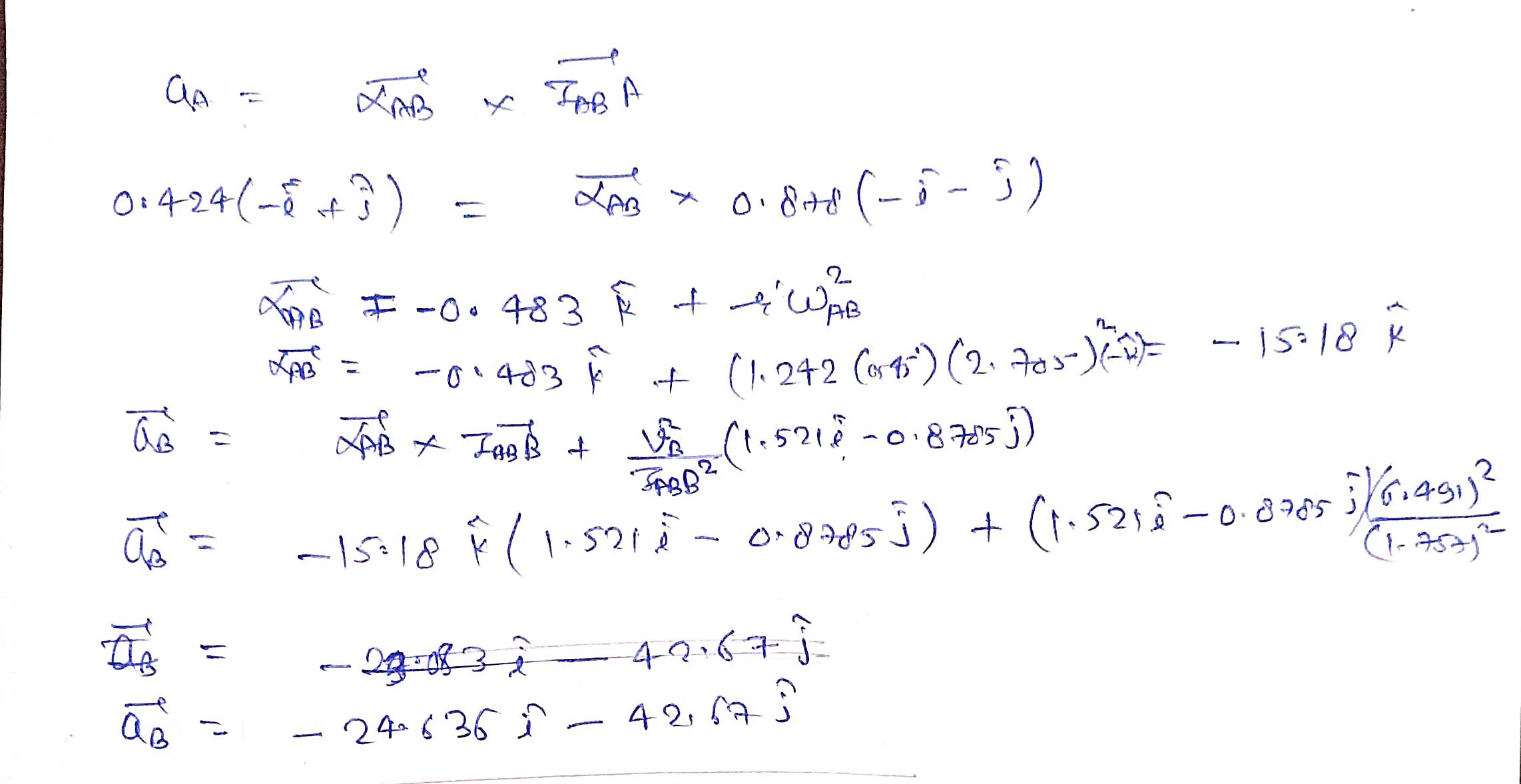
Problem 2 In the design of the collar-crank wheel with r = 1.2 m, motion is supplied by the wheel, which at the instant shown has a)\" = 2.8 rad/s (clockwise CW) and (IDA = 0.5 rad/51 (counterclockwise CCW). Determine the velocity 19,; and acceleration an of collar B as well as the angular velocity (0A3 and acceleration A3 of link AB using the vector approach. State age of motion for every RB involved. Draw IC for link AB (without solving). Note 1: if you don't use vector notation properly (in both 2b and 2c) - you will loose I point! Note 2: His will focus on grading the method of attack in this assignment with theparticular focus on 2a, 2b. The proper Za diagram can be found in the Diagram Sheet. 2c will be markled by completions with some reduction for the wrong answers/methods ( with out detailed feedback). War - 2. 8 had / sec no In & AB INB sm 45' sin 30' silos JAB B JAB A TABA = 24 sin30 = 1. 242 m sin lost = 1.757 m sit lost In vector form JABA = 1.242 ( - (0545 ) - sings. j ) JABA = -0.828 1 - 0878 5 . m JAB B = 1.757 (105 30 1 - 5730' 3) = 1. 521 5 - 0. 8785 j m Tom verfor form - OA = OF 1 . 2 Cor 45 2 + 1-2 sings's WEA = - 2. 8 k JA = + 0.5 kead / sec ? = W X GOA VA = - 2. 8 k x ( 1. 2(05 45 7 + 1. 2 sin 45] ) VA = _2. 375 j + 2: 375 1 mlsec. 1.2 aA = 015 K X ( 1: 2 65 95 5 + 1-2 sin45' 3 ) ap 0. 424 5 - 0. 424 1 m/secNOW Instantanies Center 2- 375 ( 1 - j ) = WAB X 0.828 ( - 7-3 ) CAB = 2. 705k MAX INA B 2 705 K X ( 1.521 9 - 008785 3) VB = 4:114 3 + 2. 3763 1 - 2- 37631 + 4.114 J
Step by Step Solution
There are 3 Steps involved in it
Get step-by-step solutions from verified subject matter experts
