Question: please solve and show work Attached are three problems related to Chapter 45 (System Reliability). One problem deals with Reliability w/o backup components, one deals
please solve and show work
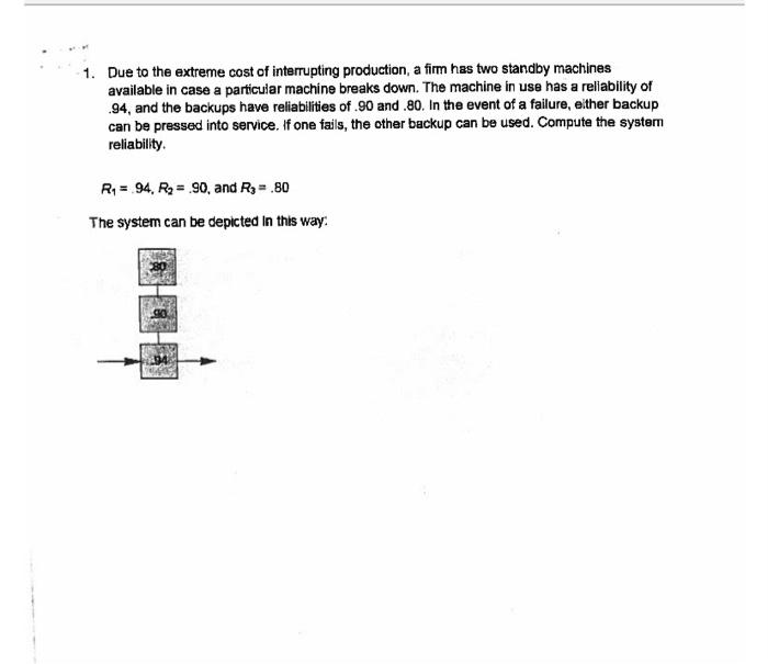
Attached are three problems related to Chapter 45 (System Reliability). One problem deals with Reliability w/o backup components, one deals with Reliability with backup components (B and D have back ups), and one deals with Reliability where only of the operations is required to work. Please solve the problems and type Reliability without the backup components System Diagram PCA) .90 P(B) .70 P(C) .95 P(D) .60 Reliability without the backup components System Diagram 260 .90 ,70 95 .60 PCBD PCOD .70 1. Due to the extreme cost of interrupting production, a firm has two standby machines available in case a particular machine breaks down. The machine in use has a reliability of .94, and the backups have reliabilities of 90 and .80. In the event of a failure, either backup can be pressed into service. If one fails, the other backup can be used. Compute the system reliability R = 94, R = 90, and R3 = .80 The system can be depicted in this way Chapter 45 Answer Sheet Name **** Show calculation to get final answer Reliability Problem #1 . All have work, but no back-up Reliability Problem #2 - All have work, but two have back-up Reliability Problem #3 - Three components, only one has to work




Step by Step Solution
There are 3 Steps involved in it
1 Expert Approved Answer
Step: 1 Unlock
Question Has Been Solved by an Expert!
Get step-by-step solutions from verified subject matter experts
Step: 2 Unlock
Step: 3 Unlock
