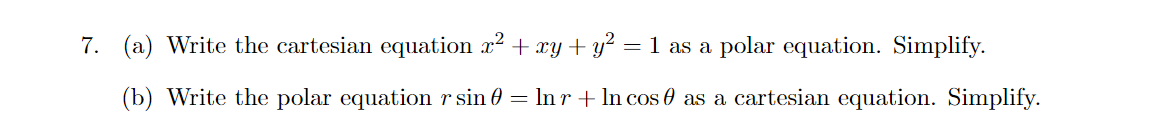
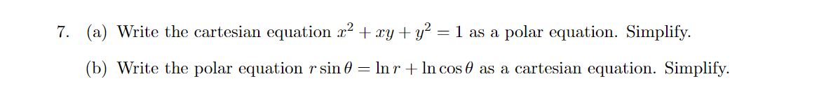
Question: Please solve and show work! Do not spend time on detailed explanations and steps. 7. (a) Write the cartesian equation 1:2 + 333; + y2

 Please solve and show work! Do not spend time on detailed

Please solve and show work! Do not spend time on detailed explanations and steps.

explanations and steps. 7. (a) Write the cartesian equation 1:2 + 333;

7. (a) Write the cartesian equation 1:2 + 333; + y2 = 1 as. a polar equation. Simplify. (b) Write the polar equation r sin9 : 1n?\" + In cost? as a cartesian equation. Simplify

Step by Step Solution

There are 3 Steps involved in it

1 Expert Approved Answer
Step: 1 Unlock blur-text-image
Question Has Been Solved by an Expert!

Get step-by-step solutions from verified subject matter experts

Step: 2 Unlock
Step: 3 Unlock

Students Have Also Explored These Related Mathematics Questions!