Question: PLEASE SOLVE ASAP! NO NEED FOR EXPLANATION IF TIME CONSUMING 1. PLEASE EVALUATE THE FOLLOWING: A) Given lim f(x) = -8 and lim g(x )










PLEASE SOLVE ASAP! NO NEED FOR EXPLANATION IF TIME CONSUMING
1. PLEASE EVALUATE THE FOLLOWING:
A)










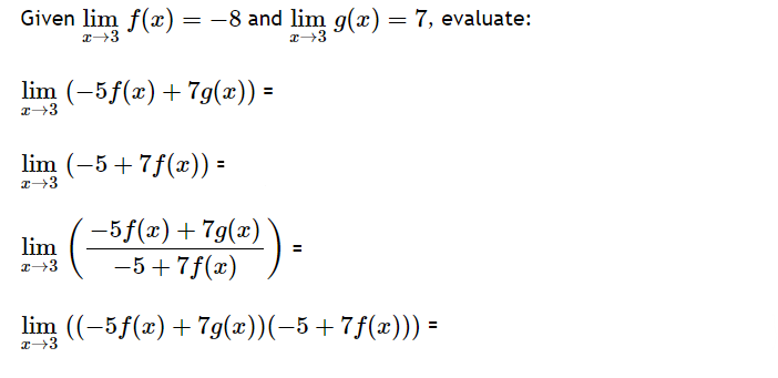
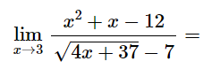
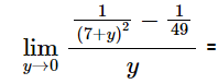
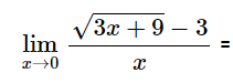
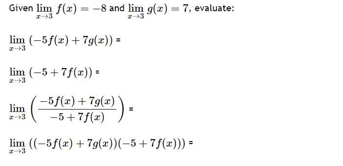
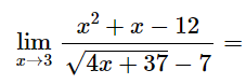
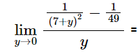
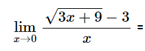
Given lim f(x) = -8 and lim g(x ) = 7, evaluate: lim (-5f(x) + 79(x)) = lim (-5 + 7f(x) ) = lim -5f(x) + 7g(x) -5+7f(x) lim ((-5f(x) + 7g(x))(-5+ 7f(x))) =Evaluate the following limits. If needed, enter on for 00 and -00 for 00, and DNE if the limit does not exist. , 2:1: 11111 6 = :c12' (33 + 2) , 2:1: 11111 6 = x12 (33 + 2) _2. lim .1: = I12 (3+2? \f-9x + 27 lim -3 22 - - 8x + 15(7+y) lim = y3x + 9 - 3 lim4 -x - x' if x3 Calculate the following limits. Enter "DNE" if the limit does not exist. lim f(x) = 0-3 lim f(x) - lim f(x) =2-x -x2 if x5 Let f(x) = 2x - 5 if x >5 Calculate the following limits. Enter "DNE" if the limit does not exist. lim f(x) = lim f(x) = C-5+ lim f(x) =3x + 8 lim 1 700 4x2 - 10x + 3 Use oo if the limit is co and -oo if the limit is -co.[4+8222) um =i asmo {1003332 Use on if the limit is 00 and -00 if the limit is OCI
Step by Step Solution
There are 3 Steps involved in it
Get step-by-step solutions from verified subject matter experts
