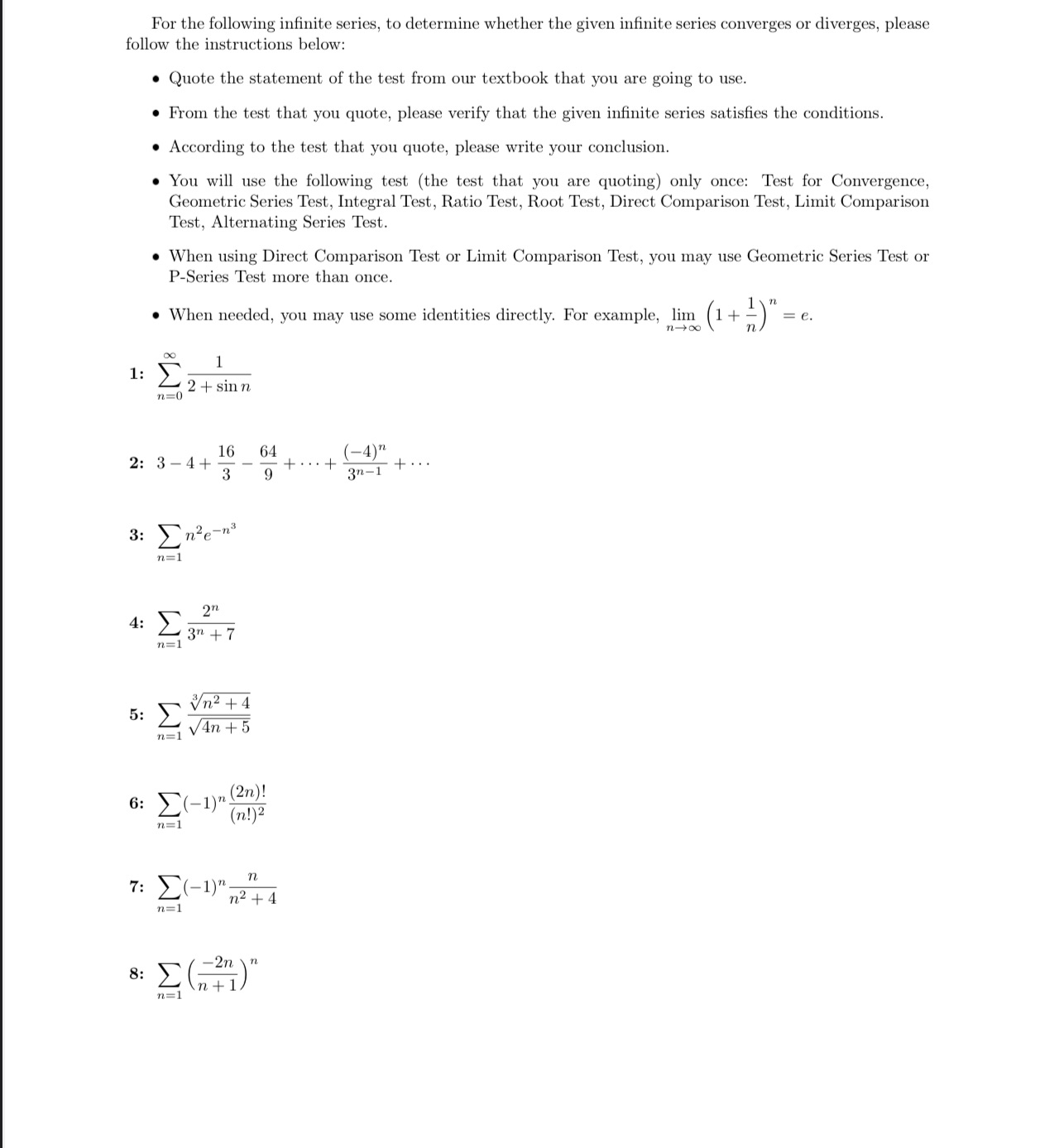
Question: Please solve each problem identically to how the instructions ask. For the following infinite series, to determine whether the given infinite series converges or diverges,
Please solve each problem identically to how the instructions ask.

Step by Step Solution
There are 3 Steps involved in it
1 Expert Approved Answer
Step: 1 Unlock
Question Has Been Solved by an Expert!
Get step-by-step solutions from verified subject matter experts
Step: 2 Unlock
Step: 3 Unlock
