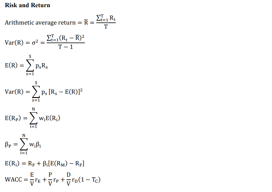
Question: Please solve for all parts. For part (c), solve using the attached formula sheet. Show relevant workings. Question 1 You have recently been hired as
Please solve for all parts.
For part (c), solve using the attached formula sheet. Show relevant workings.



Step by Step Solution
There are 3 Steps involved in it
Get step-by-step solutions from verified subject matter experts
