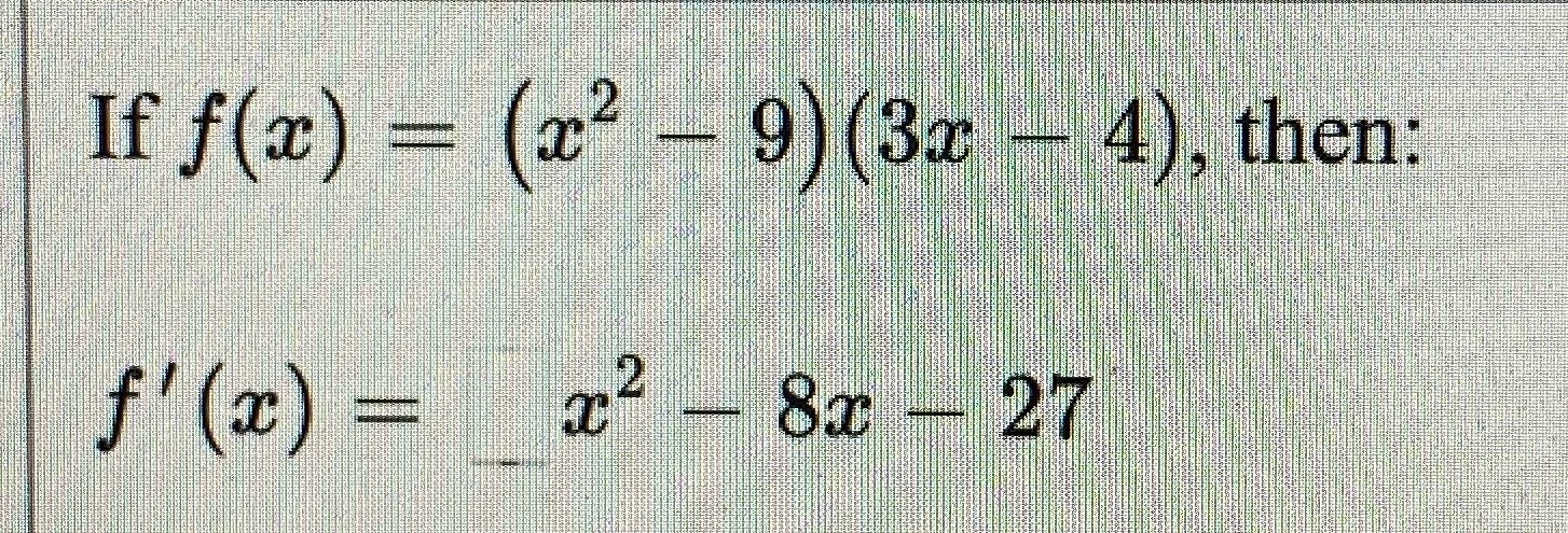
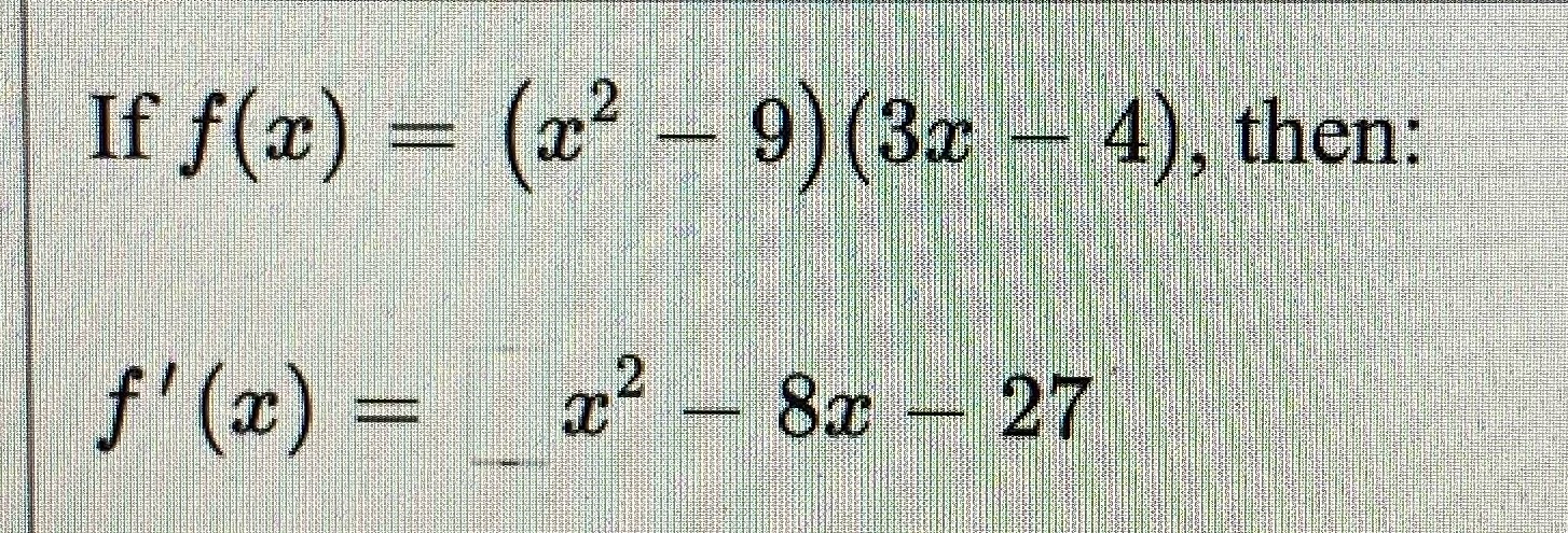
Question: Please solve If f(x (z? - 9) (3x - 4), then: f' (x) - 27

Please solve

If f(x (z? - 9) (3x - 4), then: f' (x) - 27
Step by Step Solution
There are 3 Steps involved in it
1 Expert Approved Answer
Step: 1 Unlock
Question Has Been Solved by an Expert!
Get step-by-step solutions from verified subject matter experts
Step: 2 Unlock
Step: 3 Unlock
