Question: please solve it full and fast i need full code with comments and everything work fine please SOLVE IT FULL WITH EVERYTHING I WILL GIVE



![SPECIAL!! [Question] Designing Vehicle class and Its Sub-classes There are several Vehicles](https://dsd5zvtm8ll6.cloudfront.net/si.experts.images/questions/2024/09/66f3257b4b60f_87466f3257ab17c6.jpg)
please solve it full and fast
i need full code with comments and everything work fine please
SOLVE IT FULL WITH EVERYTHING
I WILL GIVE YOU SO MUCH THUMBS UP
PLEASE MAKE THE CODE SPECIAL
SPECIAL!!
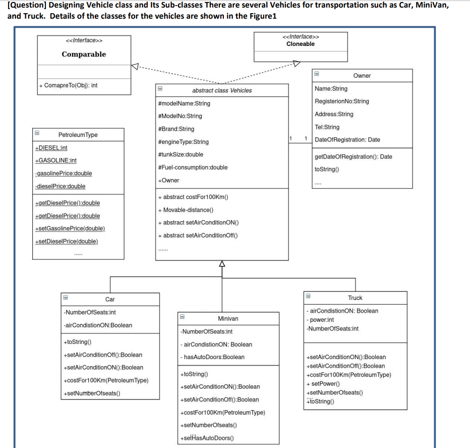
[Question] Designing Vehicle class and Its Sub-classes There are several Vehicles for transportation such as Car, Minivan, and Truck. Details of the classes for the vehicles are shown in the Figure1 > Comparable > Cloneable Owner + ComapreTo(Obj): int abstract class Vehicles #modelName:String #ModelNo:String #Brand:String #engine Type:String #tunkSize:double #Fuel consumption:double +Owner Name:String RegisterionNo:String Address:String Tel:String DateOfRegistration: Date 1 Petroleum Type +DIESEL:int +GASOLINE:int -gasolinePrice:double -dieselPricedouble 1 getDateOfRegistration(): Date toString() getDiesel Price():double getDiesel Price():double +setGasolinePrice(double) + Set Diesel Price(double) + abstract costFor100Km) + Movable-distance( + abstract setAir Condition ON() + abstract setAir Condition Off Car -NumberOfSeats.int -airCondistionON:Boolean a Truck - airCondistionON: Boolean -power.int -NumberOfSeats.int Minivan - NumberOfSeats:int - airCondistionON: Boolean - hasAuto Doors:Boolean +toStringo +setAirConditionOff():Boolean setAir ConditionON():Boolean +costFor 100Km(PetroleumType) setNumberOfseats() +SetAir ConditionON():Boolean +setAir Condition Off():Boolean +costFor 100Km(Petroleum Type) + Set Power +set NumberOfseats() #toString() +toStringo +setAir ConditionON():Boolean +setAir ConditionOff():Boolean +costFor100Km(Petroleum Type) + setNumberOfseats() +setHasAutoDoors() Request of the question: Write Java program code to realize the Figure .1 Description of the fields and methods of the classes as follows: 1. For Fields O . O Model-name: Model name of a vehicle Brand: Company to produce the model Owner: Owner of the vehicle (as object) Engine-type: Type of the engine. Classified by fuel type to be used such as gasoline, diesel, or hybrid Tank-size: Size of fuel tank. Unit is liter. Fuel consumption: Fuel consumption. Unit is km/liter. numberOfSeats: Integer number of seats in a vehicle. airconditionOn: Boolean status of air-condition's working: ON/OFF. hasAutoDoor: Boolean status of a vehicle's having auto door. power: Horse Power of a vehicle's engine. Diesel is public static final int=1, and gasoline is public static final int =2 . . 2. For Methods . Movable-distance(): Getting information of movable distance of a vehicle when the tank of the vehicle is filled fully. costFor 100km(Petroleum-Price): Calculating cost for running 100Kms with the engine type and the petroleum type passed by as parameter. It will be different according to fuel and air-condition's status. setAirConditionON: Setting the air-condition of the vehicle to ON. You can guess other methods. You have to add your owns methods, at least one additional method for each class, other than mentioned above. Create appropriate setters and getters for classes. . . 3. Some conditions to write methods The Car uses only gasoline engine. The Minivan can use engine of both gasoline and diesel. But the fuel consumption is same for both gasoline and diesel. The Truck uses only diesel engine. The engine type Hybrid uses only gasoline. Default air-condition status is OFF, and the air-condition can be ON/OFF after instances being created by setAirConON/setAirConOFF methods. Default fuel consumption is considered when air-condition is OFF. Fuel consumption of the Car increased by 10% when air-condition of the Car is ON. Fuel consumption of the Minivan and the Truck increased by 20% when air-condition of the Car is ON. For Petroleum Price: Gasoline(get price from console NIS/liter, for instance 5.23 NIS/liter)), Diesel(get price from console NIS/liter, for instance 4.02 NIS/liter) Use Exception Handling to handle errors caused by mismatch filling type of Petroleum , throw an illegal argument exception Date: you have to use Calender class (Gregorian calender). Use StringBuilder class to deal with string manipulations when read from file. (splitting, uppercase, lowercase,....etc) Appropriately implement the above hierarchy and stick to the following All Vehicle objects are comparable based on the costFor100Km. Clone an instance of Vehicle object, without cloning the owner of this Vehicle (set the owner to null for cloned object) Using deep cloning. toString() method should be implemented in appropriate way in all Vehicle sub classes displaying all the information including the cost For 100Km. Create a menu that allow user to select from them as the following: 1. Read the data about objects from the file "inputdata.txt" and store them in Arraylist. 2. Set prices of petroleum. 3. Print sorted order Vehicles in an ascending order based on costFor100Km. 4. (Bonus ) Print sorted order Vehicles in an ascending order based on owner name. 5. (Bonus ) Print sorted order Vehicles in an descending order based on vehicle brand. 6. Clone Vehicle without owner. (Ask user to choice one object for cloning from Arraylist, after Listing them to user) 7. Turn air-condition on 8. Write Output on the "output.txt" file after sort them. 9. Exit from System Note: when turn air-condition is on, you can again select one of steps 3-6, the output should be print on file. The file input format is: Car, Camley, E100, Toyota, Ahmad, Gasoline, 70.0, 15. 15,5 Car, Aqua, ES500, Toyota, Nader, Hybrid, 36.0, 40.0, 5 MiniVan, Sienna, A4, Toyota, Malik, Gasoline, 75. 0, 9.0, 8, true Minivan, Odyssey, S500, Honda, Khaled, Diesel, 56.0, 11. 0, 8, false MiniVan, Presage, BX5000, Nissan, Shaher, Gasoline, 60.0, 7.0, 7, false Truck, Tundra, EDGE500, Toyota, Sami, Diesel, 100., 6. 76,5, 310 Truck, Ridgeline, DUG700, Honda, Waleed, Diesel, 83. 279, 7.23, 5, 250 Sample of printed line on out file: ModelName: Camley, Brand: Toyota, Owner: Ahmad, EngineType: Gasoline, TankSize: 70.0, FuelConsumption: 15. 15, NumberOfSeat: 5, Movable distance: 1060.5 km, Cost for 100 Km: 46.90 NIS
Step by Step Solution
There are 3 Steps involved in it
Get step-by-step solutions from verified subject matter experts
