Question: :Please solve it with a hand written answer. (2) Prove by Induction n3 that: r=1n(r1)2=3n32n2+6n
:Please solve it with a hand written answer.

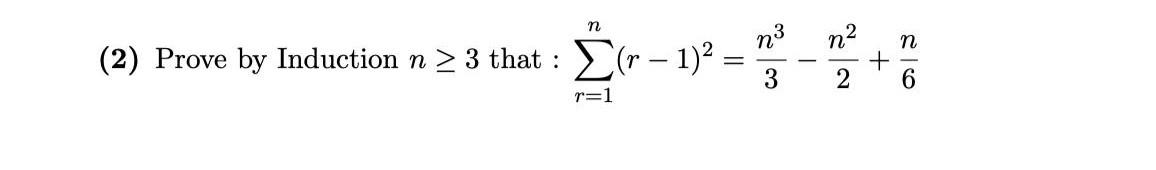
(2) Prove by Induction n3 that: r=1n(r1)2=3n32n2+6n
Step by Step Solution
There are 3 Steps involved in it
1 Expert Approved Answer
Step: 1 Unlock
Question Has Been Solved by an Expert!
Get step-by-step solutions from verified subject matter experts
Step: 2 Unlock
Step: 3 Unlock
