Question: please solve part c within 2-3 hours with the same method as the soultion maual and explain the steps because i didnt get which equation


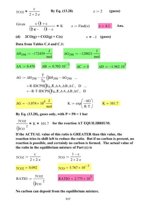
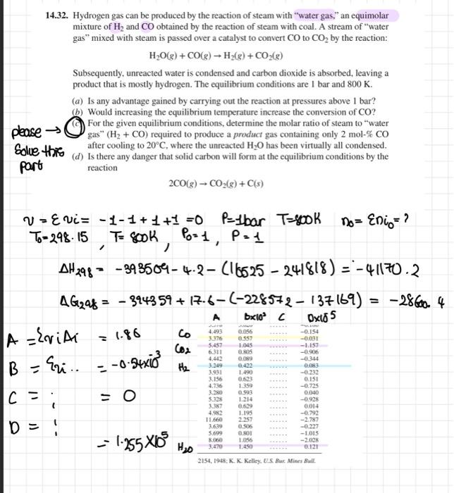
14.32. Hydrogen gas can be produced by the reaction of steam with "water gas," an equimolar mixture of H2 and CO obtained by the reaction of steam with coal. A stream of "water gas" mixed with steam is passed over a catalyst to convert CO to CO2 by the reaction: H2O(g)+CO(g)H2(g)+CO2(g) Subsequently, unreacted water is condensed and carbon dioxide is absorbed, leaving a product that is mostly hydrogen. The equilibrium conditions are 1 bar and 800K. (a) Is any advantage gained by carrying out the reaction at pressures above 1 bar? (b) Would increasing the equilibrium temperature increase the conversion of CO ? pleasegorthegivenequilibriumconditions,determinethemolarratioofsteamto"waterSolvethisaftercoolingto20C,wheretheunreactedH2Ohasbeenvirtuallyallcondensed.parf(d)Isthereanydangerthatsolidcarbonwillformattheequilibriumconditionsbythereaction2CO(g)CO2(g)+C(s)v=vi=11+1+1=0P=1barT=800Kn0=ni0=?T0=298.15,T=800K,P0=1,P=1H298=3935094.2(16525241818)=41170.2G2a8=394359+17.6(228572137169)=2860 H2O(g)+CO(g)=H2(g)+CO2(g)v=0 From the the data of Table C.4, H298:=41166molJG298:=28618molJT0:=298.15kelvinT:=800kelvinA:=1.860B:=0.540103C:=0D:=1.164105G:=H298T0T,(H298G298+RIDCPH(T0,T,A,B,C,D+-R-T.IDCPS(T0,A,A,B,C,DG=9.668103molJK:=exp(RTG)K=4.27837 (a) No. Since v=0, at low pressures P has no effect (b) No. K decreases with increasing 'T. (The standard heat of reaction is negative.). (c) Basis: 1molCO,1molH2, w mol H2O feed. From the problem statement, nCO+nH2+nCO2nCO=0.02ByEq.(13.4),nCO=1n12=1+NCO2=1+l++1=2+1=0.02:=1.020.96=0.941 Let z=w/2= moles H2O/ mole "Water gas". By Eq. (13.5), yH2O=2+ww=2+2z2zyCO=2+2z1yH2=2+2z1+ 516 yCO2=2+2zByEq.(13.28)z:=2(guess) Given (kz(l(+=Kz:= Find(z) z=4.1 Ans. (d) 2CO(g)=CO2(g)+C(s)v=I (gases) Data from Tables C.4 and C.1: H298:=172459molJG298:=120021molJ A:=0.476B:=0.702103C:=0D:=1.962105 G:=H298T0T(AH298G298+RIDCPH(T0,I,,A,B,C,D+RTIDCPS(T0,,A,B,C,D G=3.074104molJK:=exp(RTG)K=101.7 By Eq. (13.28), gases only, with P=P0=1 bar yCO2yCO2=K=101.7 for the reaction AT EQUILIBRIUM. If the ACTUAL value of this ratio is GREATER than this value, the reaction tries to shift left to reduce the ratio. But if no carbon is present, no reaction is possible, and certainly no carbon is formed. The actual value of the ratio in the equilibrium mixture of Part (c) is yCO2:=2+2zyCO2=0.092yCO:=2+2z1yCO=5.767103 RATIO:=yCO2yCO2 RATIO =2.775103 No carbon can deposit from the equilibrium mixture
Step by Step Solution
There are 3 Steps involved in it
Get step-by-step solutions from verified subject matter experts
