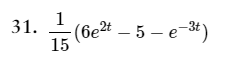
Question: Please solve q31 Use Laplace transforms to solve the initial value problems in Problems 27 through 38. 27. x + 6x'+ 25x = 0; x(0)
Please solve q31


Step by Step Solution
There are 3 Steps involved in it
1 Expert Approved Answer
Step: 1 Unlock
Question Has Been Solved by an Expert!
Get step-by-step solutions from verified subject matter experts
Step: 2 Unlock
Step: 3 Unlock
