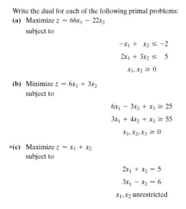
Question: Please solve the following questions Write the dual for each of the following primal problems: (a) Maximize z = 66x7 - 22x2 subject to -X1
Please solve the following questions
Step by Step Solution
There are 3 Steps involved in it
1 Expert Approved Answer
Step: 1 Unlock
Question Has Been Solved by an Expert!
Get step-by-step solutions from verified subject matter experts
Step: 2 Unlock
Step: 3 Unlock
