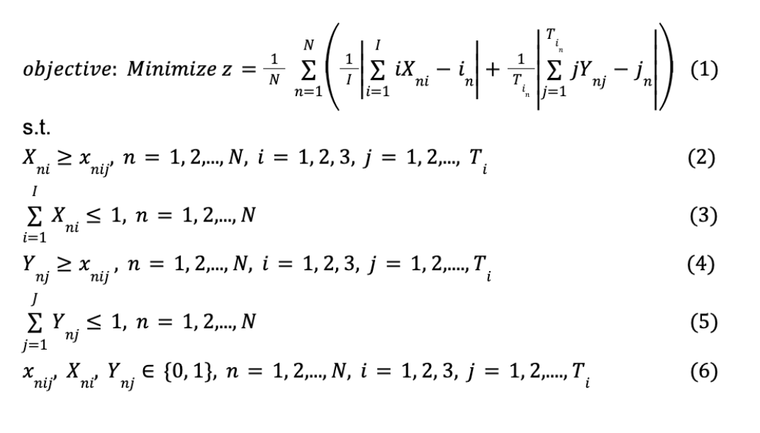
Question: Please solve the Integer programming model in excel and show all steps using solver. objective: Minimize z=N1n=1N(I1i=1IiXniin+Tin1j=1TijYnjjn) s.t. Xnixnijn=1,2,,N,i=1,2,3,j=1,2,,Ti i=1IXni1,n=1,2,,N Ynjxnij,n=1,2,,N,i=1,2,3,j=1,2,.,Ti J j=1Ynj1,n=1,2,,N xnijXniYnj{0,1},n=1,2,,N,i=1,2,3,j=1,2,,Ti

Please solve the Integer programming model in excel and show all steps using solver.
objective: Minimize z=N1n=1N(I1i=1IiXniin+Tin1j=1TijYnjjn) s.t. Xnixnijn=1,2,,N,i=1,2,3,j=1,2,,Ti i=1IXni1,n=1,2,,N Ynjxnij,n=1,2,,N,i=1,2,3,j=1,2,.,Ti J j=1Ynj1,n=1,2,,N xnijXniYnj{0,1},n=1,2,,N,i=1,2,3,j=1,2,,TiStep by Step Solution
There are 3 Steps involved in it
Get step-by-step solutions from verified subject matter experts
