Question: Please Solve the java program within 30 min. Question 01: Implement the following UML class diagrams which include an abstract class Employee, an interface TaxCalculator,
Please Solve the java program within 30 min.

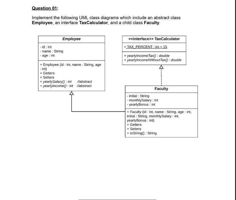
Question 01: Implement the following UML class diagrams which include an abstract class Employee, an interface TaxCalculator, and a child class Faculty. Employee - id:int - name : String - age: int > TaxCalculator + TAX_PERCENT.int = 15 + yearlyIncome Tax(): double yearlyincome Without Tax(): double + Employee (id:int, name : String, age int) + Getters + Setters + yearlySalary: int abstract + yearlyincome(): int //abstract Faculty - initial : String - monthly Salary: int -yearlyBonus : int + Faculty (id:int, name : String, age: int. initial : String, monthly Salary: int, yearlyBonus:int) + Getters + Setters + toString: String Now write a test program that performs the following tasks: 1. Create a Faculty object with an id of 1001, name as Gareth Bale, age of 43 years, initial as GB, the monthly salary of 30000 BDT, the yearly bonus of 40000 BDT. 2. Call the toString() method of the Faculty class where yearly Salary,yearlyIncome, yearlyIncome Tax, yearlyIncome Without Tax are included. In console: Faculty (initial=GB, monthlySalary=30000, yearlyBonus=40000, yearlySalary=360000, yearlyIncome=400000, yearlyIncome Tax=60000.0, yearlyIncomeWithout Tax=340000.0] 3. Now modify the Faculty class in such a way so that objects can't be created with a negative yearly bonus. If any Faculty object is created with a negative yearly bonus, it'll throw an exception such as IllegalArgumentException with an appropriate error message like "Yearly bonus can't be negative". 4. Create another Faculty object with an id of 1002, name as lan Goodfellow, age of 46 years, initial as IGF, the monthly salary of 30000 BDT, the yearly bonus of - 40000 BDT. 5. Then catch with an appropriate error message, if any exception occurs here