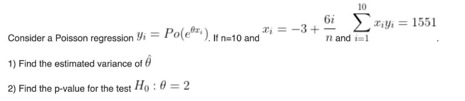
Question: please solve the problem and any missing data assumed that 10 6i Ciy: = 1551 Consider a Poisson regression yi = Pole). If n=10 and

please solve the problem and any missing data assumed that

10 6i Ciy: = 1551 Consider a Poisson regression yi = Pole"). If n=10 and C=-3+ E n and 1=1 1) Find the estimated variance of O 2) Find the p-value for the test Ho : 0 = 2
Step by Step Solution
There are 3 Steps involved in it
Get step-by-step solutions from verified subject matter experts
