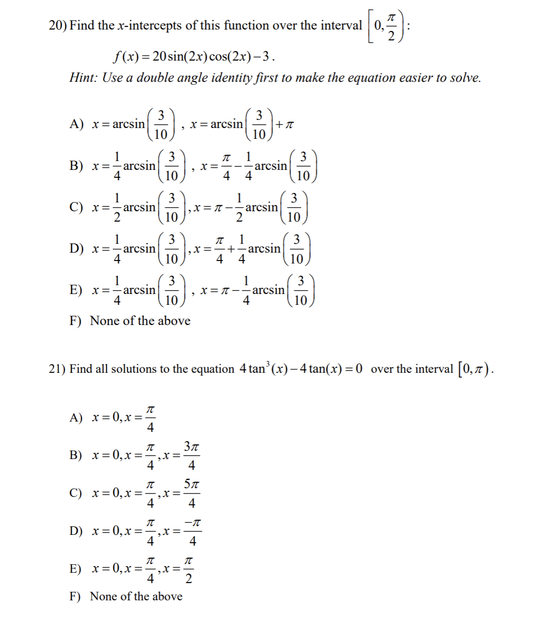
Question: Please solve the problems attached below: 1) How many solutions are there to the following equation over the interval [0,222') ? 5005(2x)+1: 4 A) 0











Please solve the problems attached below:











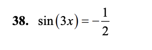
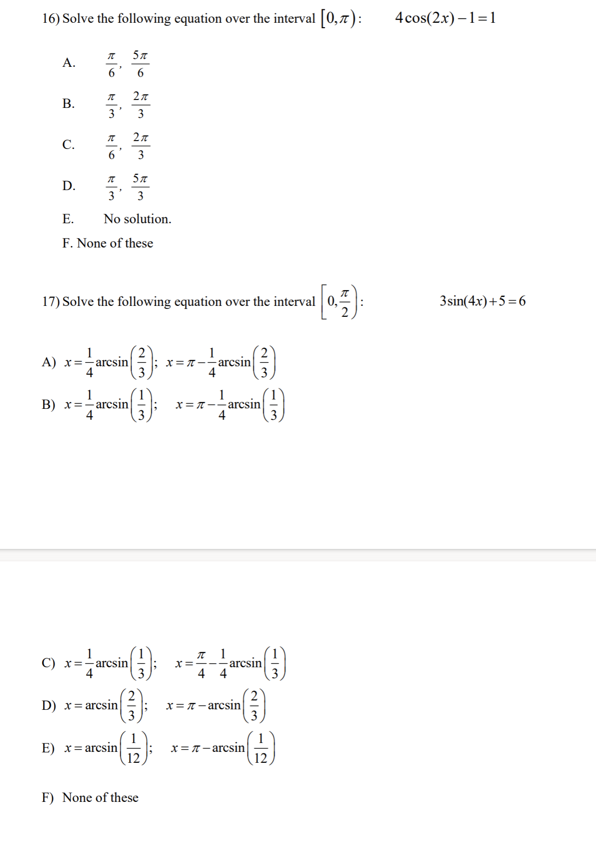
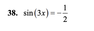
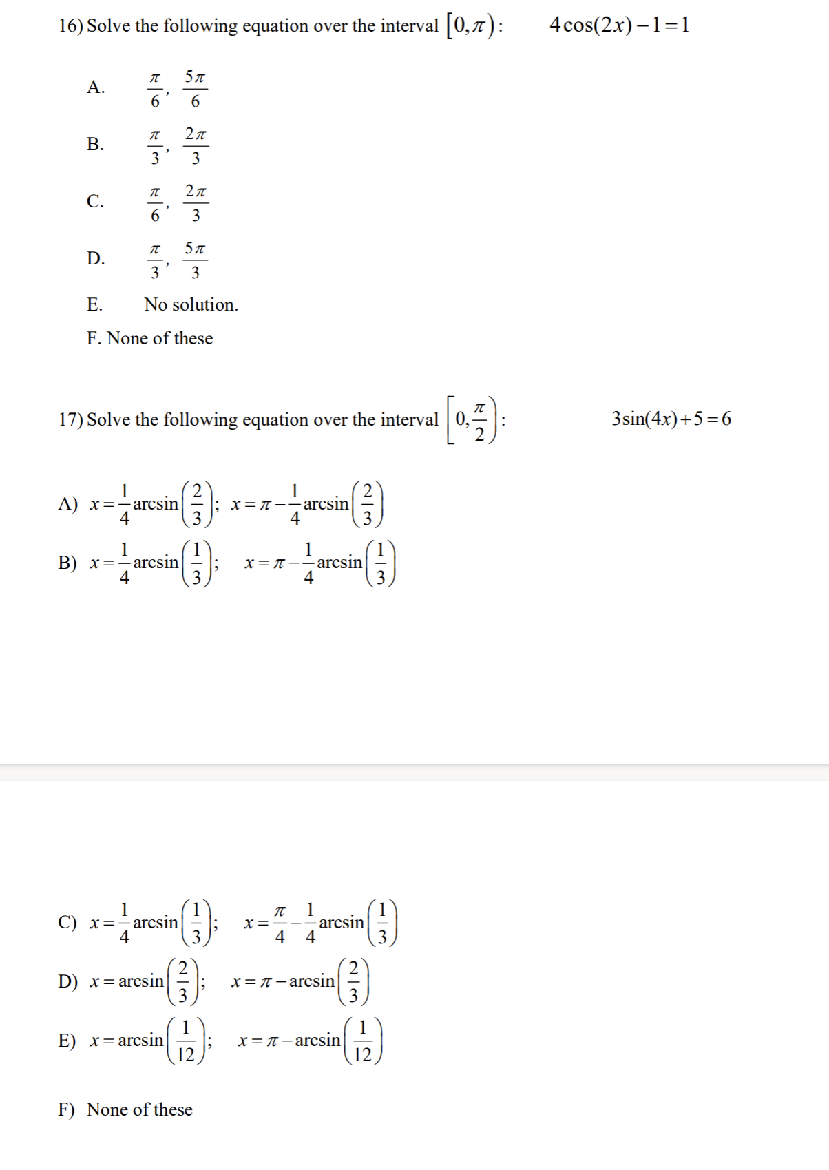
1) How many solutions are there to the following equation over the interval [0,222') ? 5005(2x)+1: 4 A) 0 B) 2 C) 4 D) 6 E) 3 F) None of the above 2) How many solutions are there to the following equation over the interval [0,222') ? 25in2 (3x) + 2sin (3x) = 0 A) 3 B) 4 C) 6 D) 9 E) 12 F) None of the above 3) Over the interval [0,27r) , how many values of x can be found satisfying this equation: 2 sin2 (2x) 7 sin(2x) + 3 = 0 ? (Hint: F actor rst. ) A) 8 B) 2 C) 6 D) 4 E) 3 F) None of these 4) Over the interval [0,27r), how many solutions does the following equation have? 4eosz(2x) 1 =1 (Hint: You don '3 need to solve the equation!) A) 0 B) 4 C) 6 D) 8 E) 10 F) None of these 5) Over the interval [0,27r) , how many x-intercepts (roots) does the following function have? f(x) = 6sin2(4x) 4 A) 20 B) 16 C) 12 D) 6 E) 8 F) None of these (b) Solve the equation for 0 S x
Step by Step Solution
There are 3 Steps involved in it
Get step-by-step solutions from verified subject matter experts
