Question: please solve this we relative gain array method in detailss y^1=S2+5S+12m1+0.1S+11m2y^2=0.5S+13m1+7S+110m2
please solve this we relative gain array method in detailss
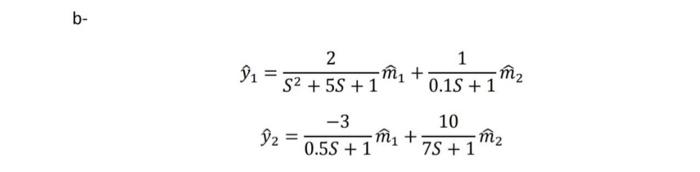
y^1=S2+5S+12m1+0.1S+11m2y^2=0.5S+13m1+7S+110m2
Step by Step Solution
There are 3 Steps involved in it
1 Expert Approved Answer
Step: 1 Unlock
Question Has Been Solved by an Expert!
Get step-by-step solutions from verified subject matter experts
Step: 2 Unlock
Step: 3 Unlock
