Question: Please solve using Matlab 1. World population data for each decade of this century (except for 1910) is given in Table 6. Assume that population



Please solve using Matlab
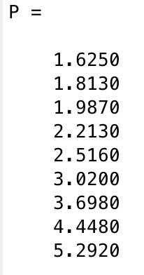
1. World population data for each decade of this century (except for 1910) is given in Table 6. Assume that population growth is linear P mT +b where time T is measured in decades since the year 1900 and P is measured in billions of people. This data can be recoverea by typing e10.3-po (a) Find m and b to give the best linear fit to this data. (b) Use this linear approximation to the data to make predictions of the world populations in the year 1910 and 2000. 1. World population data for each decade of this century (except for 1910) is given in Table 6. Assume that population growth is linear P mT +b where time T is measured in decades since the year 1900 and P is measured in billions of people. This data can be recoverea by typing e10.3-po (a) Find m and b to give the best linear fit to this data. (b) Use this linear approximation to the data to make predictions of the world populations in the year 1910 and 2000
Step by Step Solution
There are 3 Steps involved in it
Get step-by-step solutions from verified subject matter experts
