Question: Please solve using the needed charts Crane Enterprises issued 6%, 8-year, $2,730,000 bonds that pay interest annually on April 1. The bonds are dated April

Please solve using the needed charts




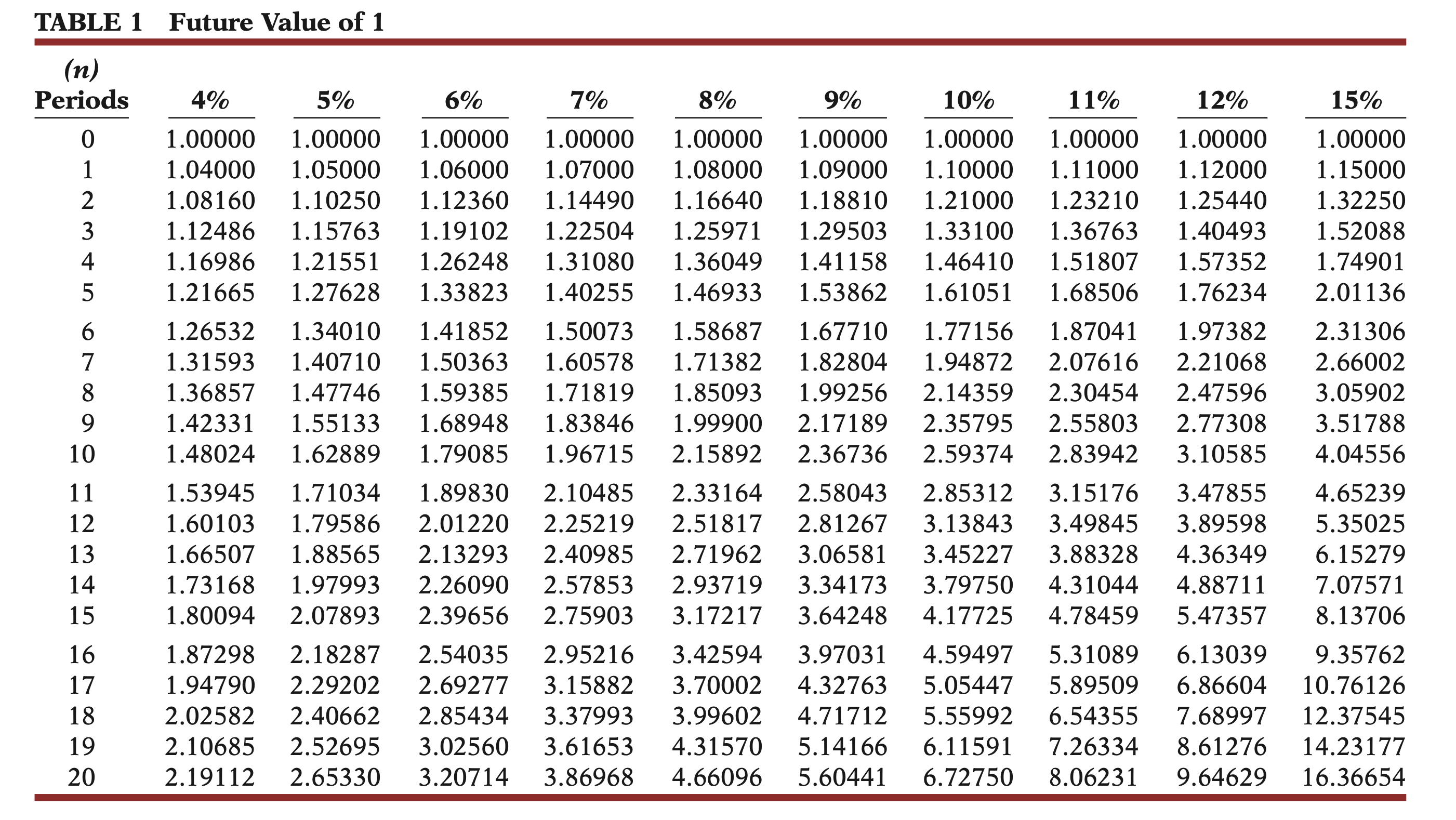
Crane Enterprises issued 6\%, 8-year, $2,730,000 bonds that pay interest annually on April 1. The bonds are dated April 1, 2022, and are issued on that date. The discount rate for such bonds on April 1, 2022, is 8%. Click here to view the factor table. (For calculation purposes, use 5 decimal places as displayed in the factor table provided.) What cash proceeds did Crane receive from issuance of the bonds? (Round answer to 0 decimal places, e.g. 125.) Cash proceeds from issuance of the bonds $ TABLE 1 Future Value of 1 TABLE 2 Future Value of an Annuitv of 1 TABLE 3 Present Value of 1 TABLE 4 Present Value of an Annuity of 1
Step by Step Solution
There are 3 Steps involved in it
Get step-by-step solutions from verified subject matter experts
