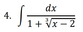
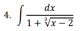
Question: Please solve using the rationalizing substitution. Thank you!! dx

Please solve using the rationalizing substitution. Thank you!!

dx
Step by Step Solution
There are 3 Steps involved in it
Get step-by-step solutions from verified subject matter experts
