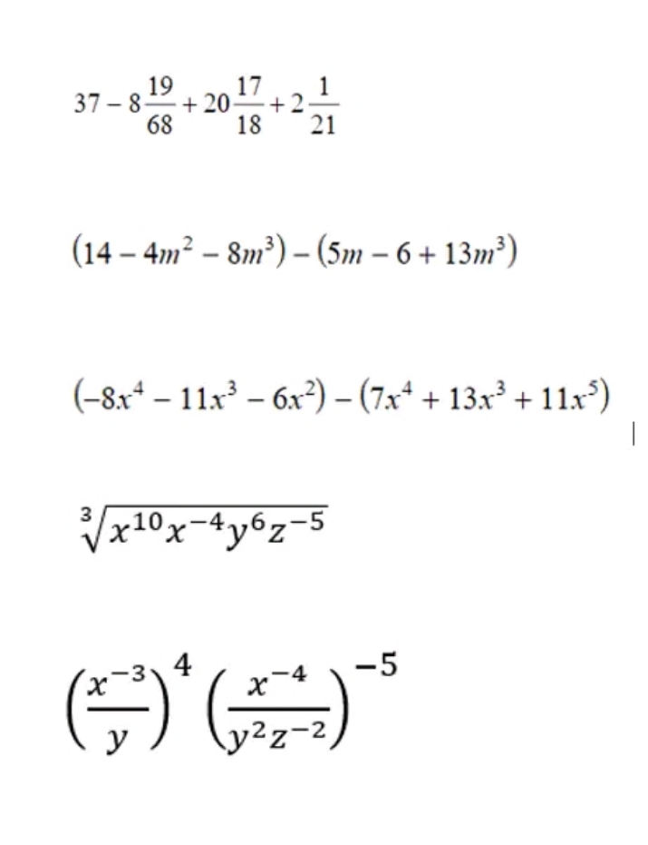
Question: please solve with complete step-by-step solutions for me to understand the process of solving the problem. tnx f
please solve with complete step-by-step solutions for me to understand the process of solving the problem. tnx

\f
Step by Step Solution
There are 3 Steps involved in it
Get step-by-step solutions from verified subject matter experts
