Question: Please specify what is wrong and why ( what is the right answer or how else should've been written to be right) I need the


Please specify what is wrong and why ( what is the right answer or how else should've been written to be right) I need the answer to all three parts; a,b and c. Thanks for your time



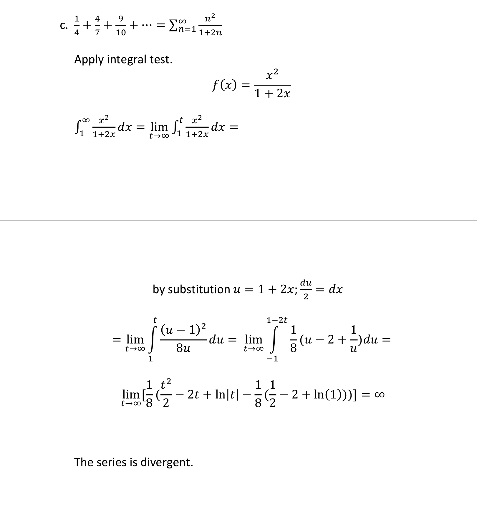
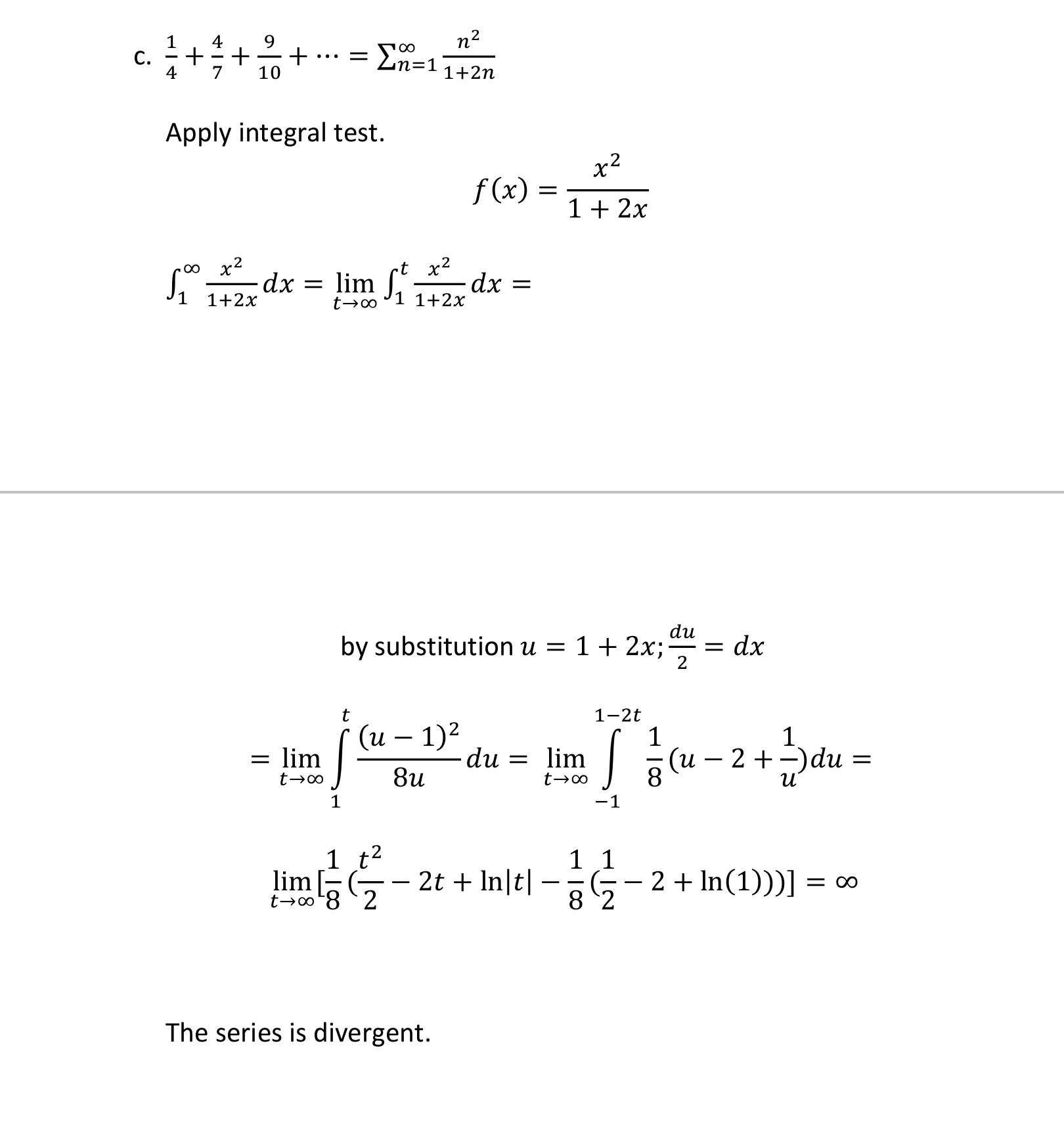
QUESTION 4 In the following solved problems, there are some mistakes (computational, logic, etc...). Find all of them and explain why you think there is a mistake (or more). a. Zn=1 1-2n Apply integral test. 1 f (x ) = 1 - 2x 1 1 - dx = by substitution u = 1 - 1-2x du 2x; 2 = dx; if x = 1, u = -1, if x = t, u = 1 - 2t 1-2t 1 1 1 : lim dx = lim - du = t- 00 1 - 2x t- 00 2 u -1 lim In|1 - 2t| + ; In|-1| = co t- 00 The series is divergent.
Step by Step Solution
There are 3 Steps involved in it
Get step-by-step solutions from verified subject matter experts
