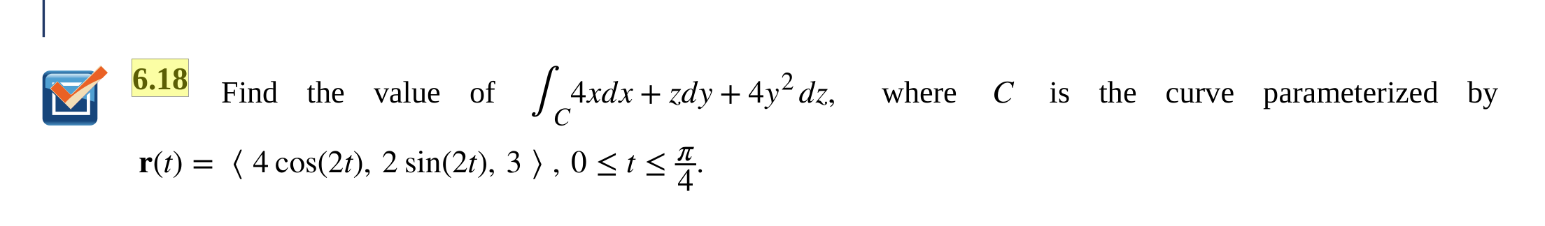
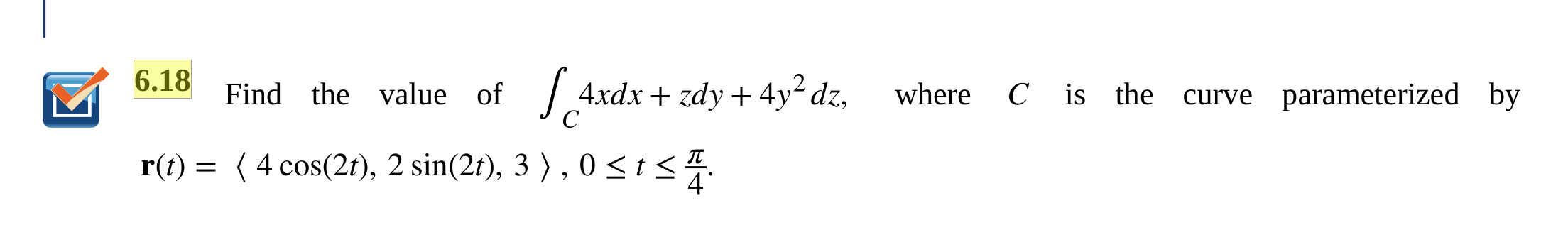
Question: Please teach how to solve Find the value of where C is the curve parameterized by < 4 cos(2t), 2 sin(2t), r(t) =

Please teach how to solve

Find the value of where C is the curve parameterized by < 4 cos(2t), 2 sin(2t), r(t) =
Step by Step Solution
There are 3 Steps involved in it
Get step-by-step solutions from verified subject matter experts
