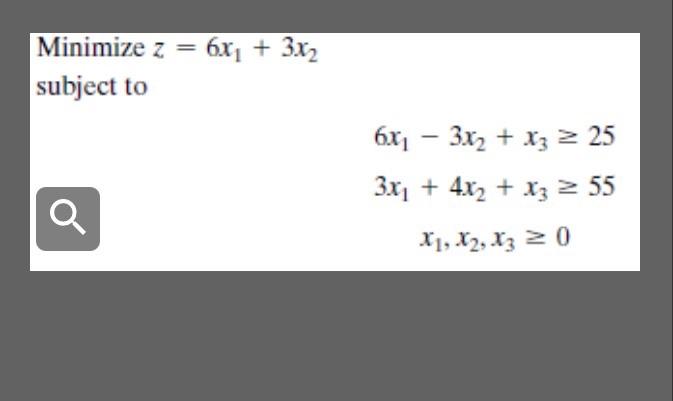
Question: please time is up Minimize z = 6x + 3x2 subject to 6x - 3x2 + x3 2 25 3.x1 + 4x2 + x3 =
please time is up
Step by Step Solution
There are 3 Steps involved in it
1 Expert Approved Answer
Step: 1 Unlock
Question Has Been Solved by an Expert!
Get step-by-step solutions from verified subject matter experts
Step: 2 Unlock
Step: 3 Unlock
