Question: Please turn the following algorithm into a C++ program. Part 1: Implement the stack traversal for the pseudocode template given below, and produce identical output
Please turn the following algorithm into a C++ program.
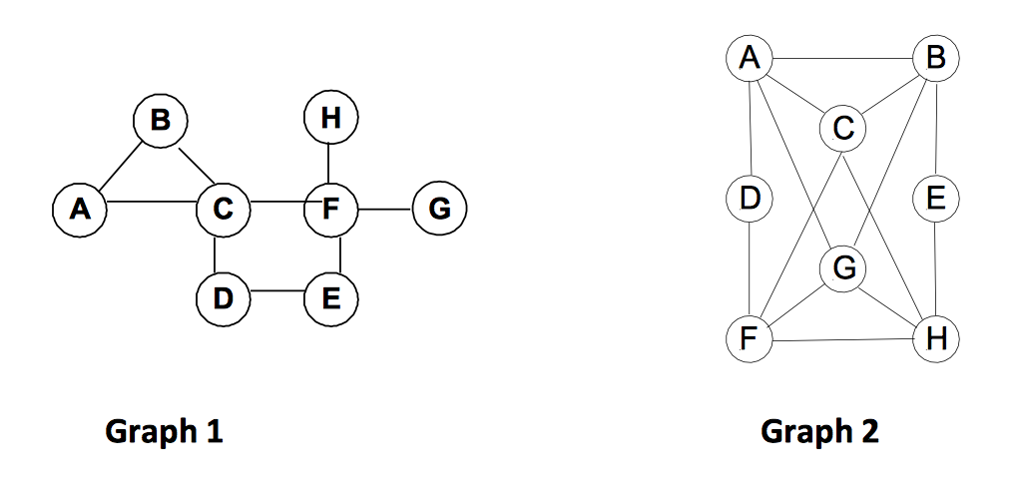
Part 1: Implement the stack traversal for the pseudocode template given below, and produce identical output (stack traversal path and the tree array). Traverse Graph 1 and USE NODE C as the ROOT.
Part 2: Modify your implementation to traverse GRAPH 2 shown below. USE NODE A as the ROOT. Output the stack traversal path and the tree array.
// A recursive solution for a stack traversal of a graph
/* Each instance of traverse keeps track of one nodes adjacency list. The CALL to and RETURN from traverse, are similar to PUSH and POP.
FYI: This code began its life in C#, mkay? */
// the graph adjacency matrix
static int[,] graph = { {0,1,1,0,0,0,0,0}, //A {1,0,1,0,0,0,0,0}, //B {1,1,0,1,0,1,0,0}, //C {0,0,1,0,1,0,0,0}, //D {0,0,0,1,0,1,0,0}, //E {0,0,1,0,1,0,1,1}, //F {0,0,0,0,0,1,0,0}, //G {0,0,0,0,0,1,0,0}, //H //A B C D E F G H
};
// where I've been
static bool[] visited = {false, false, false, false, false, false, false, false};
// the resulting tree. Each node's parent is stored
static int[] tree = {-1, -1, -1, -1, -1, -1, -1, -1}; static void Main() { // "Push" C
traverse(2);
printtree(); }
void traverse(node) { mark node as visited print(node)
init target to 0 // index 0 is node A while(not at end of nodes list) // count thru cols in nodes row
{
if(target is nodes neighbor and target is unvisited)
{
mark that targets parent is node
traverse(target) // this is like a push }
next target
}
return // this is like a pop }

B H C A D (G D E F Graph 1 Graph 2 E (C)1111( )
Step by Step Solution
There are 3 Steps involved in it
Get step-by-step solutions from verified subject matter experts
