Question: Please type the answers. 1. Given Var(X) = 2 and Var(Y ) = 1, what is Var(X 3Y )? A. -1 B. 11 C. -7
Please type the answers.
1. Given Var(X) = 2 and Var(Y ) = 1, what is Var(X 3Y )?
A. -1
B. 11
C. -7
D. There is not enough information to determine the value of Var(X 3Y ).
2- Which of the following is a valid PDF of a continuous random variable X?


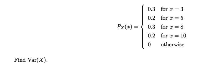
\f0.3 for x = 3 0.2 for x = 5 Px (a) = 0.3 for x = 8 0.2 for * = 10 0 otherwise Find Var(X)
Step by Step Solution
There are 3 Steps involved in it
Get step-by-step solutions from verified subject matter experts
