Question: Please Use C++! Please use Linux to compile! Submit the problem description here and submit your code here in two separate documents . Reverse Linked
Please Use C++!
Please use Linux to compile!
Submit the problem description here and submit your code here in two separate documents.
Reverse Linked List(from LeetCode #206)
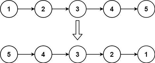
Example 1:
Input: head = [1,2,3,4,5] Output: [5,4,3,2,1]

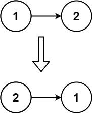
Example 2:
Input: head = [1,2] Output: [2,1]

Example 3:
Input: head = [] Output: []
Constraints:
- The number of nodes in the list is the range [0, 5000].
- -5000
Follow up: A linked list can be reversed either iteratively or recursively. Could you implement both?
/** * Definition for singly-linked list. * struct ListNode { * int val; * ListNode *next; * ListNode() : val(0), next(nullptr) {} * ListNode(int x) : val(x), next(nullptr) {} * ListNode(int x, ListNode *next) : val(x), next(next) {} * }; */ class Solution { public: ListNode* reverseList(ListNode* head) { } };
1 2 3 4 5 5 4 3 2 1 1 2. 2 1
Step by Step Solution
There are 3 Steps involved in it
Get step-by-step solutions from verified subject matter experts
