Question: Please use this formula for Question 1: Please use this formula for Question 2: Q1 - Consider the following double sampling plans. The nonconforming percentage

Please use this formula for Question 1:

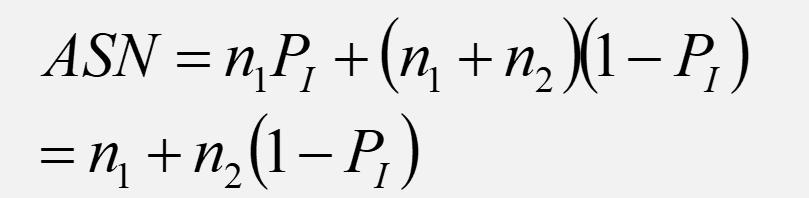
Please use this formula for Question 2: 
Q1 - Consider the following double sampling plans. The nonconforming percentage of the production is 1%. N1=100,N2=150,c1=5,c2=7andN1=100,N2=150,c1=8,c2=10 1- Compute the Pa of the lot with the double sampling plan having the larger probability of acceptance. 2- Compute ASN of a lot with the double sampling plan having the smaller probability of acceptance. Pa=P{dc}=d=0cd!(nd)!n!pd(1p)nd ASN=n1PI+(n1+n2)(1PI)=n1+n2(1PI)
Step by Step Solution
There are 3 Steps involved in it
Get step-by-step solutions from verified subject matter experts
