Question: Please view the question and the material needed to answer the question below Problem I. (60 points) Steel is heat-treated by heating above the critical












Please view the question and the material needed to answer the question below












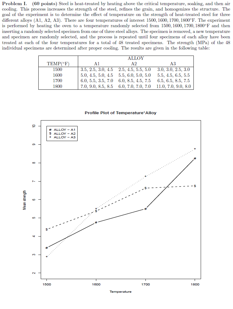
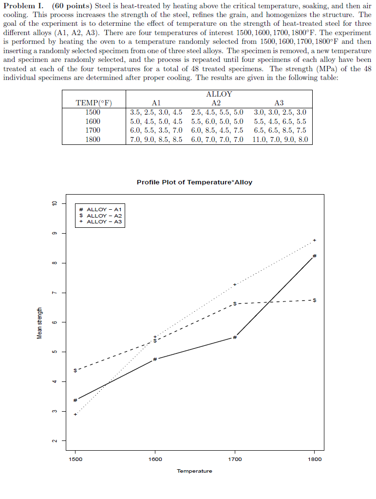
Problem I. (60 points) Steel is heat-treated by heating above the critical temperature, soaking, and then air cooling. This process increases the strength of the steel, refines the grain, and homogenizes the structure. The goal of the experiment is to determine the effect of temperature on the strength of heat-treated steel for three different alloys (Al, A2, A3). There are four temperatures of interest 1500, 1600, 1700, 1800 F. The experiment is performed by heating the oven to a temperature randomly selected from 1500, 1600, 1700, 1800 F and then inserting a randomly selected specimen from one of three steel alloys. The specimen is removed, a new temperature and specimen are randomly selected, and the process is repeated until four specimens of each alloy have been treated at each of the four temperatures for a total of 48 treated specimens. The strength (MPa) of the 48 individual specimens are determined after proper cooling. The results are given in the following table: ALLOY TEMP(F) Al A2 A3 1500 3.5, 2.5, 3.0, 4.5 2.5, 4.5, 5.5, 5.0 3.0, 3.0, 2.5, 3.0 1600 5.0, 4.5, 5.0, 4.5 5.5, 6.0, 5.0, 5.0 5.5, 4.5, 6.5, 5.5 1700 6.0, 5.5, 3.5, 7.0 6.0, 8.5, 4.5, 7.5 6.5, 6.5, 8.5, 7.5 1800 7.0, 9.0, 8.5, 8.5 6.0, 7.0, 7.0, 7.0 11.0, 7.0, 9.0, 8.0 Profile Plot of Temperature* Alloy S # ALLOY - A1 $ ALLOY - A2 ALLOY - A3 Mean strength ...... ."." . . . . . . . . 1500 1600 1700 1800 Temperature\fHeat Treated Alloys The GLM Procedure Dependent Variable: S STRENGTH(MPA) Class Level Information Class Levels Values T 1500 1600 1700 1800 A 3 A1 A2 A3 Sum of Source DF Squares Mean Square F Value Pr > F Model 11 145.2656250 13.2059659 11.68 0001 Error 36 40.6875000 1.1302083 Corrected Total 47 185.9531250 R-Square Coeff Var Root MSE S Mean 0.781195 18.38897 1.063113 5.781250 Source DF Type III SS Mean Square F Value Pr > F T 3 124.3489583 41.4496528 36.67 <.0001 a t treated alloys the glm procedure least squares means lsmean s number for effect pr> t for HO: LSMean(i)=LSMean(j) Dependent Variable: S i/j 1 2 3 4 1 0.0005 <.0001 lsmean a s number al a2 a3 least squares means for effect pr> [t| for HO: LSMean(i)=LSMean(i) Dependent Variable: S i/j 3 1 0.4112 0.1050 2 0.4112 0.4112 3 0.1050 0.4112Heat Treated Alloys The GLM Procedure Least Squares Means Note: To ensure overall protection level, only probabilities associated with pre-planned comparisons should be used LSMEAN A S LSMEAN Number 1500 3.37500000 1500 42 4.37500000 2 1500 A3 2.87500000 3 1600 A 4.75000000 4 1600 5.37500000 1600 43 5.50000000 6 1700 Al 5.50000000 7 1700 A2 6.62500000 8 1700 A3 7.25000000 1800 A1 8.25000000 10 1800 6.75000000 11 1800 A 8.75000000 12 Least Squares Means for effect T*A Pr > It for HO: LSMean(i)=LSMean(i) Dependent Variable: S i/ 10 11 12 0.1918 0.5102 0.0757 0.0116 0.0076 0.0076 0.0001 <.0001 .0001 treated alloys the glm procedure least squares means adjustment for multiple comparisons: tukey lsmean t s number effect pr> [t] for HO: LSMean(i)=LSMean(i) Dependent Variable: S i/j 1 2 3 4 0.0026 <.0001 lsmean a s number al a2 a3 least squares means for effect pr> t for HO: LSMean(i)=LSMean(j) Dependent Variable: S i/j 2 3 0.6862 0.2333 0.6862 0.6862 3 0.2333 0.6862Heat Treated Alloys The UNIVARIATE Procedure Variable: RESID LSMEAN T A S LSMEAN Number 1500 Al 3.37500000 1500 42 4.37500000 2 1500 A3 2.87500000 3 1600 A1 4.75000000 4 1600 42 5.37500000 5 1600 43 5.50000000 1700 AT 5.50000000 7 1700 42 6.62500000 8 1700 43 7.25000000 9 1800 8.25000000 10 1800 42 6.75000000 11 1800 43 B.75000000 12 Least Squares Means for effect T* A Pr > [t for HO: LSMean(i)=LSMean(i) Dependent Variable: S 1/ 2 3 5 6 7 9 10 11 12 0.9691 0.9999 0.7918 0.2858 0.2115 0.2115 0.0056 0.0005 <.0001 treated alloys the univariate procedure variable: resid moments n sum weights mean observations std deviation variance skewness kurtosis uncorrected ss corrected coeff variation error tests for normality test statistic p value shapiro-wilk pr w kolmogorov-smirnov d> D 0.0138 Cramer-von Mises W-Sq 0.137494 Pr > W-Sq 0.0353 Anderson-Darling A-Sq 0.709021 Pr > A-Sq 0.0629Heat Treated Alloys The UNIVARIATE Procedure Distribution and Probability Plot for RESID 2 1.2- 0.4- RESID -0.4 1.2 - -2. ooo 5 10 15 20 Count 2 1 - 0 02050 50 RESID 0 - 600 0900ge206500000 090090 -1 o -2 - o -3 -2 -1 0 W Normal Quantiles\fHeat Treated Alloys The GLM Procedure Class Level Information Class Levels Values TRT 12 TRTO1 TRT02 TRTO3 TRT04 TRT05 TRT06 TRT07 TRTOS TRT09 TRT10 TRT11 TRT12 Sum of Source DF Squares | Mean Square F Value Pr > F Model 11 145.2656250 13.2059659 11.68 <.0001 error corrected total r-square coeff var root mse s mean source df type iii ss square f value pr> F TRI 11 145.2656250 13.2059659 11.68 <.0001 contrast df ss mean square f value pr> F LINEAR TREND-A1 1 47.27812500 47.27812500 41.83 <.0001 linear trend-a2 trend-a3 brown and forsythe test for homogeneity of s variance anova absolute deviations from group medians sum mean source df squares square f value pr> F TRT 11 7.1406 0.6491 1.56 0.1519 Error 36 14.9375 0.4149A follow up study is to be conducted using six heat-treatment temperatures in order to evaluate the differences in the strength of the three alloy specimens more precisely. The metallurgists want at least a 90% chance of detecting a difference of at least 2 MPa in the mean strength of any pair of temperatures using an o = .05 test. The project statistician states that r = 7 would be a sufficient number of reps to achieve the specifications. Is the statistician correct? Justify your
Step by Step Solution
There are 3 Steps involved in it
Get step-by-step solutions from verified subject matter experts
