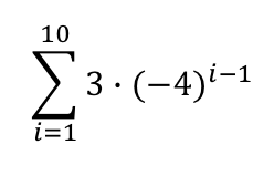
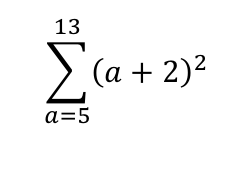
Question: Please with solution so I can review them. f5 [ ( 2n + 3) n=18 E 2n - 1 n=1f13 [ (a + 2 )2
Please with solution so I can review them.















\f5 [ ( 2n + 3) n=18 E 2n - 1 n=1\f13 [ (a + 2 )2 a=5(200 - 2 7 1 =\f(300 - 2 a = 1E k = 1
Step by Step Solution
There are 3 Steps involved in it
Get step-by-step solutions from verified subject matter experts
