Question: Please write all your steps regarding each calculation. Also, refer to the formula sheet; if any formula is used, please label it. Anyways thank you,

Please write all your steps regarding each calculation. Also, refer to the formula sheet; if any formula is used, please label it. Anyways thank you, and I will rate it after completion.
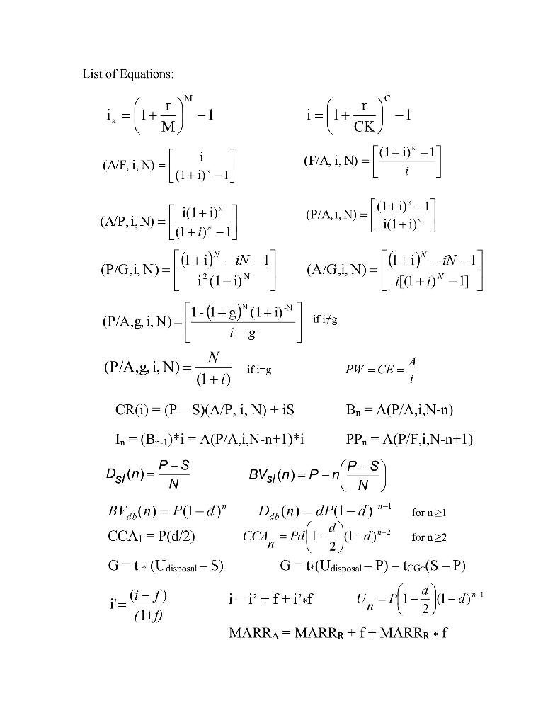
Calculation N Jane Doe is evaluating the possibility of investing in project with constant annual savings over the life of the project. The project has a first cost of P and salvage value equal to zero at the end of the project. The payback period of the project is almost 4 years. During the evaluation of the project, Jane determined that the project's annual worth was exactly 0. What is the duration (life) of the project if the MARR used by Jane was 1%? (a) 5 years (6) 6 years (C) 4 years (d) 7 years List of Equations: M r = 1+ -1 . i=11+ - 1 (A/F, i, N) = - [4+:-) (F/A, i, N) = (NP, i, N)= (P/A,1,N) = (1+i) - 1 i(1+i) i(1+i) (1+i) - 1 (1+i)* - iN-1 i? (1+i) (P/G,,N)= [(1+i)" - iN - 1 (A/G,i, N)= i[(1+i)" - 11 1-(1+3) *(1+i) "V (P/A,g, i, N)= if itg N (P/A,g, i, N)= ifiy PW = CE = i (1+i) CR(i)= (P-SXA/P, i, N) + is B, = A(P/A,1,N-n) In = (B1-1) *i = A(P/A,1,N-n+1)*i PP, = A(P/F,1,N-n+1) P-S P-S Ds/(n)= BVs/(n)=P-n N N BV(n)= P(1-4) Dav(n)=dP(1-d)-1 CCA = P(d/2) CC4, - - 1-2) fora for n>2 G=1* (Udisposal - S) G = L*(Udisposal - P) - tcG+(S-P) for n>1 i=i' +f+i'#f (1-d)! (i-1) i'= (1+1 11 MARRA = MARRR + f + MARRR #f
Step by Step Solution
There are 3 Steps involved in it
Get step-by-step solutions from verified subject matter experts
