Question: Please wr.ite clearly or typ.e 1. For each function given, use a graphing calculator to graph the function. Sketch the graph on your paper, with

Please wr.ite clearly or typ.e

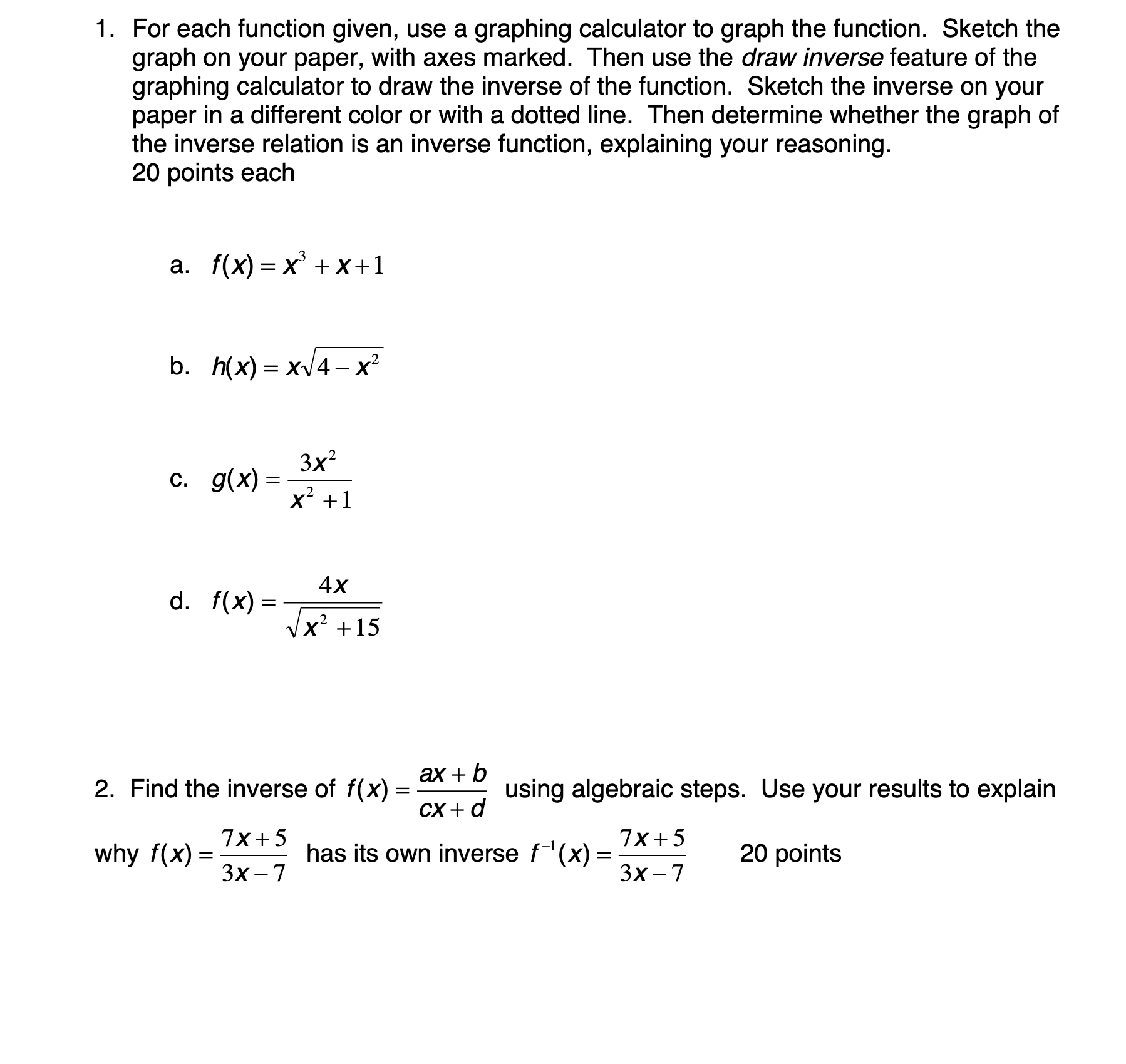
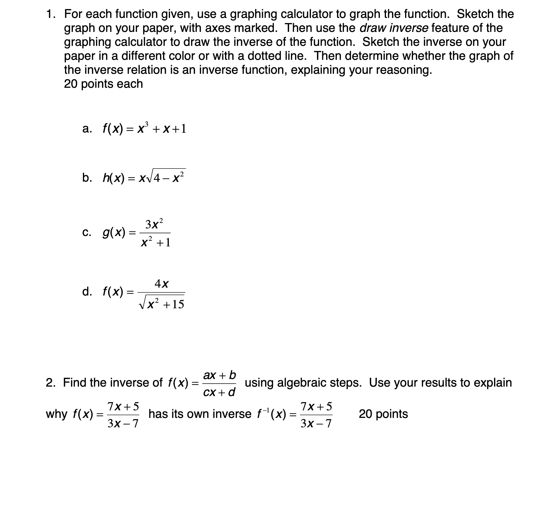
1. For each function given, use a graphing calculator to graph the function. Sketch the graph on your paper, with axes marked. Then use the draw inverse feature of the graphing calculator to draw the inverse of the function. Sketch the inverse on your paper in a different color or with a dotted line. Then determine whether the graph of the inverse relation is an inverse function, explaining your reasoning. 20 points each a. f(x) =X3 +x+1 b. h(X)=X\\/4X2 3x2 c. x = g() x2+1 d. f(x)=i X2+15 2. Find the inverse of f(x) = g: +3 using algebraic steps. Use your results to explain + why f(X) = 7X+5 has its own inverse f'1(x) = 7X+5 20 points 3x 7 3x 7
Step by Step Solution
There are 3 Steps involved in it
Get step-by-step solutions from verified subject matter experts
