Question: Please write in MIPS and MIPS only You are probably familiar with the formula: Suppose that you were skeptical of this formula and no one
Please write in MIPS and MIPS only
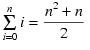
You are probably familiar with the formula: 
Suppose that you were skeptical of this formula and no one showed you a proof. You try it for a few cases and it works, but you are having difficulty finding a proof yourself. Before looking harder for a proof you'd like to verify it for a few hundred cases or more, by computer.
Write an Assembly program which verifies this equation (i.e. that the two sides are indeed equal), for any N
When your program completes, the answers computed from the left and right sides of the equation should both be labelled and printed.
Note: Test your program for values up to and including 10,000. There is no need to test to make sure that the user inputs a number of 10,000 or less. This is just a limit to the numbers I will test it with. Also, the pseudoinstruction for multiply is mul.
Submit the Following File(s):
CalculateSums.asm
Required Input:
A single 32-bit signed integer.
Required Output:
Your output should look something like the following example.
Value of N to try? 10000 Iterative Sum: 50005000 Formula Sum: 50005000
12 n+n IM 2 12 n+n IM 2
Step by Step Solution
There are 3 Steps involved in it
Get step-by-step solutions from verified subject matter experts
