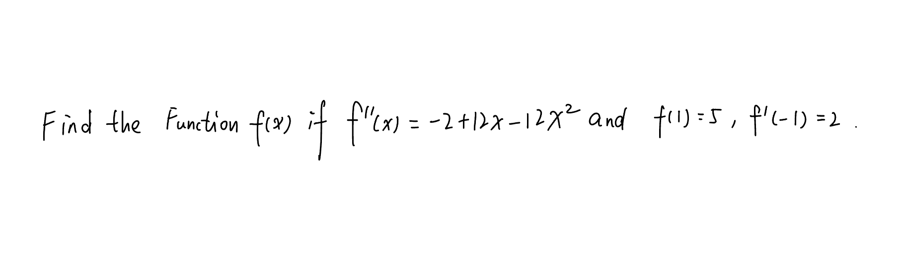
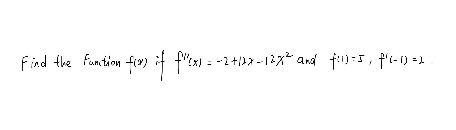
Question: Please write the solution process in detail, thank you! - -2+1)x-

Please write the solution process in detail, thank you!

- -2+1)x-
Step by Step Solution
There are 3 Steps involved in it
Get step-by-step solutions from verified subject matter experts
