Question: Please write this in Java or Python Implement depth-first search in either C,C++,C#, Java, or Python. Given an undirected graph with n nodes and m
Please write this in Java or Python





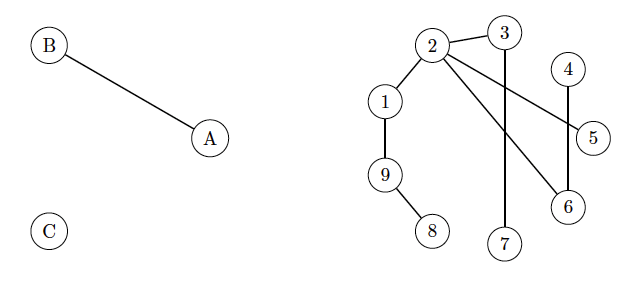
Implement depth-first search in either C,C++,C#, Java, or Python. Given an undirected graph with n nodes and m edges, your code should run in O(n+m) time. Remember to submit a makefile along with your code, just as with week 1's coding question. Input: the first line contains an integer t, indicating the number of instances that follows. For each instance, the first line contains an integer n, indicating the number of nodes in the graph. Each of the following n lines contains several space-separated strings, where the first string s represents the name of a node, and the following strings represent the names of nodes that are adjacent to node s. You can assume that the nodes are listed line-by-line in lexicographic order (0-9, then A-Z, then a-z), and the adjacent nodes of a node are listed in lexicographic order. For example, consider two consecutive lines of an instance: 0,FB,C,a Note that 0
Step by Step Solution
There are 3 Steps involved in it
Get step-by-step solutions from verified subject matter experts
