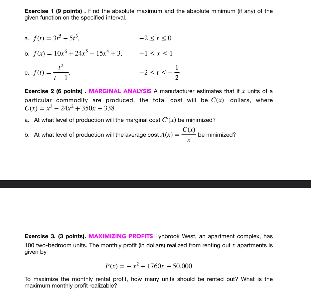
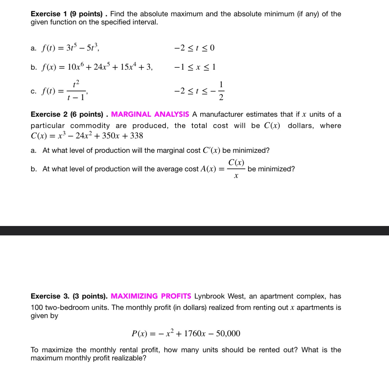
Question: Pls help I need answer written in PDF.Exercise1, Exercise 2 and Exercise 3 Exercise 1 (9 points) . Find the absolute maximum and the absolute

Pls help I need answer written in PDF.Exercise1, Exercise 2 and Exercise 3

Exercise 1 (9 points) . Find the absolute maximum and the absolute minimum (if any) of the given function on the specified interval. a. f(r)=3r55r3, 4930 b. f(x)=10x+24x5+15x4+3, 1ng1 f0) '2 2
Step by Step Solution
There are 3 Steps involved in it
Get step-by-step solutions from verified subject matter experts
