Question: Practice makes perfect so make sure to practice your math skills regularly if you want to keep improving your understanding and problem solving abilities Read
Practice makes perfect so make sure to practice your math skills regularly if you want to keep improving your understanding and problem solving abilities
Read and understand the problem carefully. Identify what information is given in the problem and what needs to be found or solved fo. Identify any key words that will guide your thinking when finding a solution. Draw a diagram or equation if necessary to visualize relationships between numbers or concepts, and organize data points to find solutions. organized plan for solving the problem that involves making assumptions about values when needed and performing calculations where appropriate.. Check your answer against expectations set by the original question before submitting it as your solution! Familiarize yourself with certain strategies such as using inverse operations, using other formulas, working backward from the goal etc., which can help you solve certain types of math problems more easily . Utilize online resources like videos and tutorials to better understand how specific types of math problems are solved in general . Break down large tasks into smaller steps , which can make difficult math problems much easier to tackle . Practice makes perfect - work on solving as many different types of math questions as possible so you can become proficient at them over time ! Ask questions when you need help understanding how a specific type of problem is solved , rather than trying to figure out everything on your own ! Take notes while studying so that you can refer back to them later if needed while working on further challenges Don't be afraid to make mistakes - learn from them so that you don't repeat them next time around! Think outside the box - don't just rely on standard methods for solving every single type of math problem - look for alternate approaches too ! Have patience - learning how to solve difficult maths problems takes time , but with perseverance , anything is possible !
1. Identify when an equation or expression is missing information and use educated guesses to fill in the gaps. 2. Use a calculator to help with tedious calculations that require many steps of calculation. 3. Work systematically rather than randomly when looking for patterns in data points or equations. 4. Memorize key formulas and equations so you can quickly access them while solving problems instead of having to look them up every time! 5. Utilize online tools such as graphing calculators, equation solvers, and other interactive resources which can be used to help solve complex math problems more easily . 6 . Learn how to use the scientific notation format correctly - it's an important tool that makes calculations involving very large or very small numbers much simpler ! 7.. Understand how different operations work together - knowing what happens when you multiply a fraction by an integer , for example , will help you solve certain types of math questions quickly . 8 .. Simplify your answers as much as possible - this not only helps make sure your solution is correct but also reduces the amount of time needed for future calculations ! 9 .. Look out for common mistakes - forgetting negative signs , confusing similar looking symbols etc., can all lead to incorrect solutions if not caught in time ! 10.. Keep track of units throughout the problem - make sure all units match up before submitting a final answer! 11.. Double check your answers before submitting them- sometimes errors occur during manual calculation that are not easy to spot unless double checked ! 12 .. Always be aware of any potential implications arising from assumptions made during problem solving - this will help ensure accuracy! 13.. Learn how different techniques such as substitution , linear programming , Fourier transforms etc., work so they can be applied appropriately when needed . 14.. If one approach doesn't seem to work, try another approach - there are often multiple ways in which a single problem can be solved successfully . 15.. Practice with timed tests and exams regularly so that you don't feel rushed during tests and exams due lack of practice!















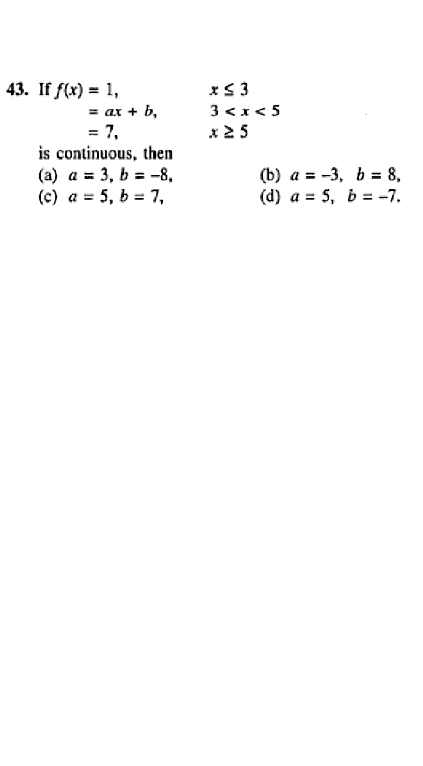
42. The function {(4') isx) = x: if x is rational = 1' if; is irrational. lhcn it is (a) Continuous at x = 0. (b) Dismnlinuous at x = I (c) Discontinuous at .t = 0, ((1) Continuous at x = \"2 50. The differential coefficient of x with respect to x is (a) 3x- (b) 2x (c) 3x7 + 2x (d) 3x/2.\f\f\f\f\f\f\f43. If f(x) = 1, x53 =ax + b, 3
Step by Step Solution
There are 3 Steps involved in it
Get step-by-step solutions from verified subject matter experts
