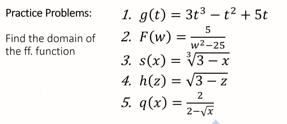
Question: Practice Problems: 1, .903) : 3t3 t2 + 5t Find the domain of Z. F(W) = WES25 the ff. function 3. SOC) = m 4.

Step by Step Solution
There are 3 Steps involved in it
1 Expert Approved Answer
Step: 1 Unlock
Question Has Been Solved by an Expert!
Get step-by-step solutions from verified subject matter experts
Step: 2 Unlock
Step: 3 Unlock
