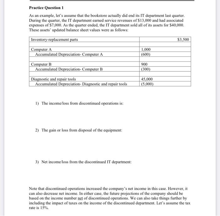
Question: Practice Question 1 As an example, let's assume that the bookstore actually did end its IT department last quarter. During the quarter, the IT department
Practice Question 1 As an example, let's assume that the bookstore actually did end its IT department last quarter. During the quarter, the IT department earned service revenues of $13,000 and had associated expenses of $7,000. As the quarter ended, the IT department sold all of its assets for $40,000. These assets' updated balance sheet values were as follows: 1) The income/loss from discontinued operations is: 2) The gain or loss from disposal of the equipment: 3) Net income/loss from the discontinued IT department: Note that discontinued operations increased the company's net income in this case. However, it can also decrease net income. In either case, the future projections of the company should be based on the income number net of discontinued operations. We can also take things further by including the impact of taxes on the income of the discontinued department. Let's assume the tax rate is 15%
Step by Step Solution
There are 3 Steps involved in it
Get step-by-step solutions from verified subject matter experts
