Question: Practice Test: Practice FINAL. Linear Algebra MATH-218 Please provide details and problems thoroughly worked through. Will use as a study guide for exam, exam will
Practice Test: Practice FINAL. Linear Algebra MATH-218
Please provide details and problems thoroughly worked through. Will use as a study guide for exam, exam will present VERY similar questions. Thank You.




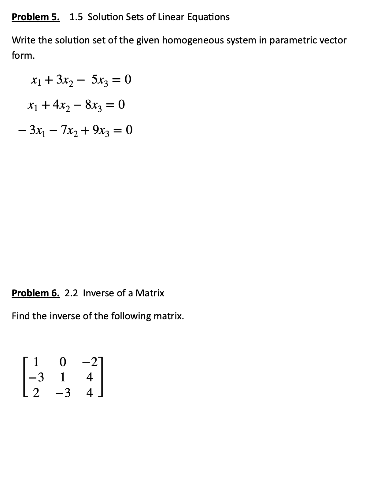
Problem 1. 1.1 Systems of Linear Equations Solve the system of equations. x13x2+4x3 = 4 3X17XZ'I'7X3: 8 4x1 + 6x2 x3 = 7 Problem 2. 1.2 Row Reduction and Echelon Forms Row reduce to reduced echelon form. Circle the pivot positions in the nal matrix. List the pivot columns of the original matrix. 1 4 4 7 6 9 -~JU'll\\J OOONUJ Problem 3. 1.3 Vector Equations Determine if B is a linear combination of the vectors formed from the columns of thematrixA. 1 2 6 _ 11 A: 0 3 7 ,1): 5 12 5 9 Problem 4. 1.4 The Matrix Equation Afr = 5 Write the augmented matrix corresponding to Afr = b. Solve the system for 56 by reducing to row echelon form. 1 2 4 _ 2 A: 0 1 5 ,1): 2 2 4 3 9 Problem 5. 1.5 Solution Sets of Linear Equations Write the solution set of the given homogeneous system in parametric vector form. x1+3x2- 5x3=0 x1+4x2-8x3=0 -3x17x2+9x3=0 Problem 6. 2.2 Inverse of a Matrix Find the inverse of the following matrix. 314 234 Problem 7 2.4 Partitioned Matrices Find formulas for X, Y and Z in terms of A, B, and C. Assume all matrices are conformable. [X00]3=[10] YOIBI 01 Problem 8. 2.5 Matrix Factorizations (10 points) Find an LU factorization of the following matrix. 24 2 1 54 6 2 4
Step by Step Solution
There are 3 Steps involved in it
Get step-by-step solutions from verified subject matter experts
