Question: Pre Cal Practice Quiz Vector A is 7 units North and Vector B is 5 units West. Vector R is the addition of Vector A




Pre Cal Practice Quiz




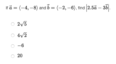
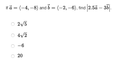
Vector A is 7 units North and Vector B is 5 units West. Vector R is the addition of Vector A and Vector B. Which of the following describes Vector R? O 8.6 units 36" North of West O 8.6 units 54" North of West O 9.8 units 46" North of West O 8.4 units 30" North of WestIf a = (-4, -8) and b = (-2, -6), find 2.5a - 3b . O 2V/5 O 4V2 0 -6 O 20What is the subtraction of Vector B from Vector N? N = 2 units B-=-4-units O OO O
Step by Step Solution
There are 3 Steps involved in it
Get step-by-step solutions from verified subject matter experts
